La música ha estado estrechamente unida a la medicina desde la antigüedad, y ha aportado numerosos beneficios a la salud de los pacientes. El paciente con enfermedad renal crónica en tratamiento de hemodiálisis (HD), generalmente, presenta una calidad de vida relacionada con la salud (CVRS) inferior a los valores de referencia de la población general. El objetivo del presente estudio es verificar si la intervención de música clásica en directo e in situ’ durante el tratamiento de HD tiene efectos sobre la CVRS de los pacientes.
Materiales y métodosSe realizó un estudio de intervención, prospectivo y aleatorizado por grupos, en pacientes con enfermedad renal crónica en tratamiento con HD. Durante 4 semanas un grupo de pacientes recibía la intervención con música clásica en directo 30 o 40min durante las sesiones de HD, mientras el grupo control realizaba el tratamiento habitual. Variables descriptivas: edad, sexo, meses en tratamiento, Kt/V, hemoglobina y albúmina. Variable resultado: CVRS, se midió con el cuestionario de salud Kidney Diseasse Quality of life (KDQOL-SF) antes y después de la intervención musical.
ResultadosParticiparon 90 pacientes distribuidos en 2 grupos, el grupo intervención y el grupo control. El análisis de los resultados muestra que el grupo con intervención mejoró su calidad de vida respecto a la medición inicial. La diferencia entre el momento pre- y post- del grupo intervención respecto al grupo control aumentó la puntuación media (pm) en todas las escalas de forma significativa, excepto en las escalas Situación laboral, Función sexual y Apoyo social. Los resultados más importantes se dieron en escala Síntomas/problemas con un aumento de 15,78 (p<0,001) pm; en escala Efectos enfermedad renal con un aumento de 14,96 (p<0,001) pm; en escala Carga enfermedad renal con un aumento de 16,36 (p<0,001) pm; en escala Sueño con un aumento de 14,78 (p<0,001) pm; en escala Vitalidad con un aumento de 25,46 (p<0,001) pm; en escala Bienestar emocional con un aumento de 29,57 (p<0,001) pm; en escala Dolor con un aumento de 41,92 (p<0,001) pm y en escala Salud General con un aumento de 23,39 (p<0,001) pm.
ConclusiónLa intervención con música en directo durante el proceso de tratamiento de HD mejora la CVRS autopercibida en pacientes con enfermedad renal crónica.
Music has been closely linked to medicine since ancient times, and has brought numerous benefits to the health of patients. Patients with chronic kidney disease undergoing hemodialysis (HD) generally have a health-related quality of life (HRQL) lower than the reference values of the general population. The objective of the present study is to verify if the intervention of classical music live and “in situ” during the treatment of HD has effects on the HRQL of the patients.
Materials and methodsA prospective, group-randomized intervention study of 4 weeks’ duration was carried out in patients with chronic kidney disease undergoing HD. Descriptive variables are included for data analysis: age, sex, months in treatment, Kt/V, hemoglobin and albumin. Result variable: HRQL, measured with the Kidney Disease health questionnaire Quality of Life (KDQOL-SF) before and after the musical intervention.
Results90 patients participated in 2 groups, the intervention group and the control group. The analysis of the results shows that the intervention group improved their quality of life compared to the initial measurement. The difference between the pre and post time of the intervention group with respect to the control group increased the mean score (pm) in all the scales significantly, except in the Work situation, Sexual function and Social support scales. The most important results were given on the Symptoms/problems scale with an increase of 15.78 (P<.001)pm; in scale Effects of kidney disease with an increase of 14.96 (P<.001)pm; in scale Burden of kidney disease with an increase of 16.36 (P<.001)pm; on the Dream scale with an increase of 14.78 (P<.001)pm; on the Vitality scale with an increase of 25.46 (P<.001)pm; on the Emotional well-being scale with an increase of 29.57 (P<.001)pm; on the Pain scale with an increase of 41.92 (P<.001)pm and on the General Health scale with an increase of 23.39 (P<.001)pm.
ConclusionIntervention with live music and on-site while receiving HD treatment improves self-perceived HRQL in patients with CKD.
La calidad de vida es un concepto multidimensional, engloba varias dimensiones, como la física, la social o la emocional, que valoran el bienestar personal de los pacientes. Es una variable muy provechosa para evaluar la eficiencia de los tratamientos y para pronosticar los posibles efectos negativos de la enfermedad1, por esta razón se ha convertido en un concepto fundamental para la atención integral del paciente2.
La mayoría de los estudios sobre la calidad de vida relacionada con la salud (CVRS) en pacientes con enfermedad renal crónica (ERC) en tratamiento de hemodiálisis (HD) muestran que estos pacientes presentan una CVRS inferior a los valores de referencia de la población general en todas las subescalas del SF-36 3–8.
También es importante señalar la revisión de estudios sobre CVRS en la ERC avanzada en España, realizado por Rebollo-Rubio et al.9 donde, tras el análisis de 53 artículos publicados entre el año 1995 y el mes de mayo de 2014, concluyen que, en la mayoría de los estudios analizados, la CVRS, se vio afectada de manera importante en pacientes tratados con diálisis.
Existen varios instrumentos para medir la CVRS, entre ellos el cuestionario de salud Kidney Diseasse Quality of life (KDQOL-SF)10. Se trata de una escala mixta, evalúa componentes para la población general, pero a su vez posee un nivel específico para ERC. La escala KDQOL-SF es una de las que tiene más publicaciones de validación y adaptación en distintos idiomas a nivel mundial y sus características psicométricas son confiables, el alfa de Cronbach es>0,7, y su utilidad es adecuada porque es de fácil aplicación y poco compleja11.
Muchos autores han investigado el impacto que tiene la intervención con música en directo sobre distintas patologías. A través de la musicoterapia se ha demostrado que la música posee un efecto beneficioso y que ha conseguido reducir niveles de estrés, dolor, ansiedad, aplicándola como adyuvante a los tratamientos12–18. Por ejemplo, en el estudio realizado por Bradt et al.19 realizaron una revisión sistemática sobre el impacto de la musicoterapia (un tratamiento musical personalizado ofrecido por músico terapeutas entrenados) y de la medicina musical (escuchar música grabada por un doctor o una enfermera), y los efectos físicos y psicológicos en enfermos con cáncer. Analizaron un total de 52 ensayos clínicos con 3.731 pacientes, divididos en 23 ensayos de musicoterapia y 29 como medicina musical. Concluyeron que las intervenciones musicales pueden tener efectos beneficiosos sobre la ansiedad, el dolor, la fatiga y la calidad de vida en estos pacientes. Además, observaron que la música puede tener un pequeño efecto sobre la frecuencia cardíaca, la frecuencia respiratoria y la tensión arterial. No obstante, la mayoría de los ensayos analizados tenían un sesgo importante, por lo que los resultados deben interpretarse con cautela.
También Uchiyama et al.20 investigaron el efecto de la música sobre la regulación de la respuesta inmunitaria en ratones sometidos a trasplante cardíaco. Llegaron a la conclusión de que los ratones expuestos a la escucha de música tipo opera (La Traviata), música clásica (Mozart), o música de Enya tenían una respuesta reguladora mayor (descenso de IL-2 e interferón-γ) que aquellos que no eran expuestos.
Sin embargo, no hemos encontrado ningún estudio que profundice sobre la influencia que puede tener la música en la calidad de vida del enfermo renal, por ello, nos planteamos como objetivo del estudio comprobar el efecto que produce sobre la CVRS de pacientes con ERC escuchar música clásica en directo, en la propia sala, mientras se recibe el tratamiento de HD.
Material y métodosSe trata de un estudio de intervención prospectivo aleatorizado, con aleatorización por grupos por razones logísticas. Se lleva a cabo en una unidad hospitalaria de HD que cuenta con 3 turnos por día (mañana, tarde y noche). Por razones de incompatibilidad horaria de los músicos, el turno de noche se excluyó del estudio y este se desarrolló en 4 turnos de diálisis con un total de 120 pacientes:
- A.Lunes, miércoles y viernes, mañana. 
- B.Lunes, miércoles y viernes, tarde. 
- C.Martes, jueves y sábado, mañana. 
- D.Martes, jueves y sábado, tarde. 
Se informó a los pacientes tanto de forma oral como escrita de los detalles del estudio, sus riesgos, beneficios, y de los criterios de inclusión y exclusión para participar en el proyecto de investigación.
Criterios de inclusión: Pacientes mayores de 18 años, otorgar el consentimiento informado, llevar más de 3 meses en programa crónico de HD.
Criterios de exclusión: incapacidad para oír la música, incapacidad para responder las encuestas, no otorgar consentimiento informado para participar, menores de 18 años, ingresos hospitalarios durante más de 4 semanas o en las 2 últimas semanas de la intervención.
Todos los que cumplían los criterios de inclusión y decidieron participar voluntariamente en el estudio recibieron y firmaron el consentimiento informado para el acceso a sus datos médicos.
Se realizó un sorteo a través de muestreo estratificado para formar 2 grupos, un grupo de intervención (GI) formado por el turno A y D, que contaba con la componente música y un grupo de control (GC) formado por los turnos B y C según los resultados del sorteo.
Durante el período de un mes se realizaron actuaciones musicales en directo en las salas de HD en 2 de las 3 sesiones semanales. Las sesiones musicales tuvieron una duración de unos 30/40min. Los pacientes rellenaron el cuestionario KDQOL-SF, durante la 2.a y 3.a hora de sesión de diálisis, en un momento basal y en la última semana de la intervención.
Las variables descriptivas registradas fueron:
- -Causa de la enfermedad renal. 
- -Meses en tratamiento con HD. 
- -Sexo. 
- -Edad. 
- -Acceso vascular: fístula arteriovenosa o catéter venoso central. 
- -Kt/V Daugirdas 2.a generación fundamentado en especificaciones de urea sérica antes y después de la HD. 
- -Consumo de psicofármacos y/o medicación analgésica. 
- -Hemoglobina sérica (g/dl). 
- -Albúmina sérica (g/dl). 
- -Tensión arterial media (mmHg) del día de realización de encuestas. 
La variable resultado era la puntuación obtenida en el cuestionario de calidad de vida KDQOL-SF.
En cuanto al tamaño de la muestra, se calculó que, aceptando un riesgo alfa de 0,05 y un riesgo beta de 0,2 en un contraste bilateral, eran necesarios 36 pacientes en cada uno de los grupos, para detectar una diferencia igual o superior a 2 puntos. Se asume que la desviación estándar común es de 3 y un coeficiente de correlación entre la medida inicial y final de 0,6. Se estimó una tasa de pérdidas de seguimiento del 20%. Por tanto, se reclutó un número superior a 36 pacientes por grupo.
El presente estudio respeta los principios fundamentales establecidos en la Declaración de Helsinki, en el convenio del consejo de Europa relativo a los derechos humanos y la biomedicina, en la Declaración Universal de la UNESCO sobre el genoma humano y los derechos humanos, así como cumple los requisitos establecidos en la legislación española de acuerdo a la Ley de Protección de datos 3/2018 de 5 de diciembre, en el ámbito de la investigación biomédica, la protección de datos de carácter personal y la bioética.
Intervención: Desarrollo de las sesiones musicalesPara el desarrollo de las sesiones musicales colaboraron 30 músicos profesionales, todos ellos profesores de conservatorios superiores, profesores de conservatorios profesionales de música y músicos de orquestas profesionales, lo que nos permitió formar muchos y variados grupos de música de cámara y tocar un gran repertorio de piezas musicales de diferentes estilos, desde Bach, Beethoven o Mozart, hasta música de grupos como Queen o los Celtas Cortos. Se limitó el número de músicos por grupo a un máximo de 4 por sesión, ya que las sesiones musicales se desarrollaban entre camas y personal sanitario, evitando interferir en la asistencia al paciente.
Se realizaron 4 audiciones semanales en el mes, los 90 pacientes del GI escucharon a todas las formaciones camerísticas, de este modo se evitaba cualquier tipo de sesgo. La sala de HD está distribuida en 3 subsalas, los músicos se situaban en diferentes localizaciones para facilitar al paciente el contacto visual y no solo el auditivo. La figura 1 nos muestra imágenes de las actuaciones.
Cuestionario KDQOL-SFEntre todos los cuestionarios elegimos para el estudio el KDQOL-SF, adaptado al español21.
Es un cuestionario de calidad de vida específico para pacientes con enfermedades renales que están en diálisis y se centra en los problemas y preocupaciones de estas.
Cuenta con una parte genérica y otra específica para pacientes en HD.
La parte genérica está constituida por el cuestionario SF-36, reconocido y utilizado internacionalmente para realizar estudios multicéntricos y que también se ha adaptado al español22.
- •Función física. 
- •Función social. 
- •Limitaciones por dificultades físicas. 
- •Limitaciones por dificultades emocionales. 
- •Buen estado psicológico. 
- •Vitalidad/agotamiento. 
- •Sensación general de salud. 
En el último ítem del KDQOL-SF los pacientes tienen que evaluar su salud en general en una escala de 0-10 (donde 0 sería «la peor salud posible» y 10 «la mejor salud posible»), y que representa la valoración subjetiva global del paciente acerca de su salud.
La parte específica cuenta con 43 ítems para pacientes con enfermedad renal distribuidos de la siguiente forma entre 11 dimensiones específicas para la enfermedad:
- •Síntomas/problemas. 
- •Dificultades diarias debidas a la enfermedad. 
- •Peso de la enfermedad. 
- •Situación laboral. 
- •Función cognitiva. 
- •Actividad social. 
- •Actividad sexual. 
- •Dificultades relacionadas con el sueño. 
- •Apoyo social. 
- •Calidad de la actitud de la plantilla del servicio. 
- •Satisfacción del paciente. 
La puntuación para cada dimensión oscila de 0 a 100, donde las puntuaciones más altas representan un mejor estado de salud, excepto en la escala específica de función cognitiva y calidad de las relaciones sociales donde la puntuación más alta representa peor estado de salud.
Análisis estadísticoEn primer lugar, se llevó a cabo un análisis descriptivo de las variables dependientes e independientes estudiadas. En este análisis las variables se presentan mediante media, desviación estándar, mediana y primer y tercer cuartil en el caso de variables continuas, y mediante frecuencias relativas y absolutas en el caso de variables categóricas, con el objetivo de visualizar su distribución y buscar posibles fuentes de error en aquellos casos donde se presenten outliers.
En cuanto al análisis estadístico, se ajustaron varios modelos de regresión lineales mixtos, uno por variable dependiente (en este caso las distintas dimensiones del cuestionario), para analizar y comparar la evolución temporal de cada variable en los 2 grupos de estudio (control e intervención). Todos los modelos también incluyeron edad, sexo, Kt/V, hemoglobina, tensión arterial sistólica y diastólica y albúmina como covariables (efectos fijos). Para evaluar la diferencia en la evolución temporal de estas variables en ambos grupos, se incluyó en los modelos la interacción entre el instante temporal y el grupo. Esta interacción es necesaria para valorar cómo los 2 grupos divergen con la progresión del tiempo. Para tener en cuenta la no-independencia de las observaciones en el caso de medidas repetidas por paciente (variables medidas para el mismo paciente en 2 períodos de tiempo diferentes), se añadió un intercepto aleatorio a los modelos con el paciente como factor aleatorio.
Para evaluar la significación estadística de las estimaciones, calculamos los valores p para los efectos fijos usando la aproximación de Satterthwaite a los grados de libertad. Se consideró estadísticamente significativo un valor de p<0,05. Todos los modelos se diagnosticaron examinando la normalidad de los residuos y comprobando la heterocedasticidad.
Todos los análisis estadísticos se realizaron con el software R (versión 3.4.1; R Foundation for Statistical Computing, Viena, Austria) utilizando principalmente el paquete lme4 (versión 1.1-17).
ResultadosSe seleccionan para el estudio 120 pacientes, aceptan participar 92 y la muestra se reduce finalmente a 90; un paciente se eliminó por fallecimiento y el otro por traslado de hospital. Las características clínicas y demográficas de los pacientes incluidos en este estudio se especifican en la tabla 1.
Características clínicas y demográficas de la población incluida en el estudio
| Grupo GC | Grupo GI | |
|---|---|---|
| (n=43) | (n=47) | |
| Edad (años) | ||
| Media (DE) | 75,81 (9,67) | 73,53 (10,91) | 
| Mediana (RIC) | 79 (70,5; 83) | 75 (67; 81,5) | 
| Sexo | ||
| Varón, n (%) | 22 (51,16) | 18 (38,30) | 
| Mujer, n (%) | 21 (48,83) | 29 (61,70) | 
| Meses intervención | ||
| Media (DE) | 60,47 (41,10) | 63,34 (52,35) | 
| Mediana (RIC) | 49 (30,5; 89) | 59 (23; 86) | 
| Kt/v | ||
| Media (DE) | 1,54 (0,18) | 1,48 (0,38) | 
| Mediana (RIC) | 1,54 (1,45; 1,69) | 1,40 (1,30; 1,60) | 
| Hemoglobina sérica (g/dl) | ||
| Media (DE) | 11,56 (1,05) | 11,32 (1,12) | 
| Mediana (RIC) | 11,60 (10,80; 12,15) | 11,30 (10,70; 12,15) | 
| Albúmina sérica (g/dl) | ||
| Media (DE) | 3,87 (0,42) | 3,77 (0,43) | 
| Mediana (RIC) | 4 (3,8; 4) | 4 (3,6; 4) | 
| Tensión arterial sistólica (mmHg) | ||
| Media (DE) | 133,98 (28,49) | 137,34 (20,13) | 
| Mediana (RIC) | 139 (117; 153,5) | 140 (122,5; 150) | 
| Tensión arterial diastólica (mmHg) | ||
| Media (DE) | 56,09 (12,25) | 58,70 (12,17) | 
| Mediana (RIC) | 58 (46,5; 64) | 57 (49,5; 65) | 
| Tipo de acceso vascular | ||
| CVC n (%) | 9 (20,93) | 8 (17,02) | 
| FAV n (%) | 34 (79,07) | 39 (82,98) | 
CVC: catéter venoso central; DE: desviación estándar; FAV: fístula arteriovenosa; GC: grupo control; GI: grupo intervención; RIC: rango intercuartílico.
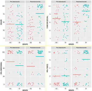
Los resultados del análisis estadístico muestran que la diferencia entre el momento pre- y post- del GI respecto al GC aumentó la puntuación media de forma significativa en 18 de las 21 escalas del test (tabla 2). Los resultados indican que los grupos control e intervención han evolucionado de forma diferente entre los 2 instantes temporales, y que esta diferencia de evolución es significativa en 18 escalas del test. Cabe destacar las escalas Dolor, Función social, Rol emocional y Rol físico, ya que estas variables en el GI sufren un incremento que difiere en más de 40 puntos con respecto a la diferencia de estas mismas variables del GC entre los 2 instantes temporales (fig. 2).
Evolución temporal de las escalas analizadas del cuestionario KDQOL-SF para el grupo control (GC) y el grupo intervención (GI)
| Media (DE) | |||||
|---|---|---|---|---|---|
| Variable | Grupo | Preintervención | Postintervención | Estimacióna (IC 95%):Interacción tiempo×grupo | Valor de p | 
| Síntomas/problemas | GC | 64,63 (18,27) | 63,07 (16,88) | 15,78 (10,00-21,56) | <0,001 | 
| GI | 66,31 (17,97) | 80,54 (13,09) | |||
| Efectos enfermedad renal | GC | 42,51 (21,05) | 39,31 (18,60) | 14,96 (9,16-20,76) | <0,001 | 
| GI | 45,88 (24,11) | 57,64 (19,10) | |||
| Carga enfermedad renal | GC | 29,79 (14,99) | 26,59 (15,79) | 16,36 (7,76-24,96) | <0,001 | 
| GI | 30,31 (25,60) | 43,48 (23,99) | |||
| Situación laboral | GC | 38,37 (21,37) | 44,18 (19,54) | −5,81 (−12,20-0,57) | 0,078 | 
| GI | 38,29 (23,80) | 38,29 (25,98) | |||
| Función cognitiva | GC | 23,56 (17,83) | 24,49 (17,86) | −17,52 (−24,60-10,44) | <0,001 | 
| GI | 25,10 (24,44) | 8,51 (10,37) | |||
| Calidad relaciones sociales | GC | 16,89 (14,78) | 17,36 (14,11) | −14,22 (−20,55-7,89) | <0,001 | 
| GI | 22,69 (23,45) | 8,93 (10,42) | |||
| Función sexual | GC | 14,53 (28,46) | 13,95 (28,50) | 7,76 (1,59-13,93) | 0,016 | 
| GI | 30,05 (37,37) | 37,23 (41,82) | |||
| Calidad del sueño | GC | 51,80 (22,14) | 49,94 (23,32) | 21,59 (15,13-28,05) | <0,001 | 
| GI | 50,47 (26,03) | 70,21 (22,56) | |||
| Apoyo social | GC | 68,21 (18,83) | 68,21 (16,98) | 4,61 (−2,93-12,15) | 0,234 | 
| GI | 72,69 (27,01) | 77,30 (22,90) | |||
| Actitud personal | GC | 85,17 (21,34) | 84,59 (23,43) | 8,29 (1,98-14,59) | 0,012 | 
| GI | 79,52 (25,19) | 87,23 (17,77) | |||
| Satisfacción | GC | 80,23 (20,33) | 79,45 (20,52) | 4,32 (−0,07-8,71) | 0,057 | 
| GI | 74,82 (23,28) | 78,36 (18,03) | |||
| Función física | GC | 29,76 (26,79) | 28,25 (27,03) | 26,08 (19,32-32,84) | <0,001 | 
| GI | 30,31 (26,23) | 54,89 (27,17) | |||
| Rol físico | GC | 25,00 (40,08) | 29,65 (40,18) | 46,41 (28,09-64,72) | <0,001 | 
| GI | 26,06 (38,64) | 77,12 (39,29) | |||
| Dolor | GC | 43,60 (34,78) | 36,04 (31,49) | 41,92 (29,04-54,79) | <0,001 | 
| GI | 42,44 (31,84) | 76,80 (30,87) | |||
| Salud general | GC | 33,72 (13,23) | 31,86 (13,00) | 11,96 (7,14-16,78) | <0,001 | 
| GI | 30,42 (20,79) | 40,53 (19,62) | |||
| Bienestar emocional | GC | 54,60 (23,83) | 51,07 (24,36) | 29,57 (21,13-38,01) | <0,001 | 
| GI | 53,61 (30,73) | 79,66 (20,88) | |||
| Rol emocional | GC | 70,54 (45,54) | 55,81 (47,54) | 43,09 (22,92-63,26) | <0,001 | 
| GI | 58,15 (46,86) | 86,52 (31,59) | |||
| Función social | GC | 61,62 (28,53) | 50,87 (28,66) | 43,20 (32,40-54,00) | <0,001 | 
| GI | 52,39 (31,67) | 84,84 (23,15) | |||
| Vitalidad | GC | 28,95 (24,21) | 23,48 (21,14) | 25,46 (18,62-32,30) | <0,001 | 
| GI | 35,00 (27,28) | 55,00 (24,71) | |||
| Cambios E.S. | GC | 43,60 (22,55) | 36,04 (22,02) | 15,53 (4,67-26,40) | 0,006 | 
| GI | 50,53 (30,16) | 58,51 (28,68) | |||
| Salud general (total) | GC | 44,41 (18,68) | 39,53 (15,88) | 23,39 (15,26-31,52) | <0,001 | 
| GI | 45,31 (24,92) | 63,83 (19,95) | |||
La estimación refleja la interacción entre el instante temporal y el grupo, obtenida mediante modelos de regresión lineales mixtos. Más concretamente, la estimación indica la diferencia existente entre la evolución temporal (instante postintervención menos instante preintervención) del GI respecto a la evolución temporal del GC para cada una de las variables de estudio. En este caso una estimación positiva nos indica que la variable ha incrementado su valor en el GI después de la intervención y en mayor cantidad que en el GC.
Distribución de las escalas Dolor, Función social, Rol emocional y Rol físico del cuestionario KDQOL-SF para el grupo control (GC) y el grupo intervención (GI) en los 2 instantes temporales analizados (pre- y postintervención). Las líneas horizontales indican el valor medio de la escala para GC y GI respectivamente en cada instante temporal. Con relación a los datos estadísticos obtenidos, se observa cómo la diferencia en la evolución temporal de ambos grupos es muy pronunciada en las escalas Dolor, Función social y Rol emocional ya que los valores de estas escalas aumentan considerablemente en GI, pero se reducen en GC. En cambio, la escala Rol físico se incrementa en ambos grupos, pero el incremento en GI es mucho mayor que en el grupo GC.
En cuanto, al análisis de las covariables, en los modelos de regresión lineales mixtos implementados solo los efectos del sexo y de la albúmina fueron significativos (p<0,05) para varias de las dimensiones del test. El resto de covariables estudiadas no resultaron significativas (p>0.05) para ninguna de las dimensiones estudiadas.
En concreto, el efecto del sexo (varón sobre mujer) resulto significativo (p<0,05) para las dimensiones Síntomas/problemas (9,12), Efectos enfermedad renal (8,75), Función sexual (20,21), Función física (12,21), Rol físico (9,12), Dolor (18,63), Función social (12,07) y Cambios E.S (11,60). En todas estas variables, el efecto fue positivo por lo que se deduce que la puntuación de las variables test tiende a ser superior en hombres.
Por otra parte, el efecto de la albúmina resultó significativo (p<0,05) para las dimensiones Síntomas/problemas (8,86), Efectos enfermedad renal (11,74), Carga enfermedad renal (13,67), Vitalidad (18,87), Función sexual (21,16), Función física (17,51), Rol físico (16,20), Dolor (19,25), Bienestar emocional (17,87), Función social (17,31) y Salud general (13,89). En todas estas variables el efecto fue positivo, por lo que se deduce que la respuesta a las dimensiones del test tiende a ser mayor cuanto mayor sea el valor de albúmina
DiscusiónLa aplicación de la música en la medicina ha estado presente desde la antigüedad, y ha ido evolucionando según las costumbres y creencias de cada época; todo esto ha ido tejiendo los antecedentes de lo que hoy conocemos como musicoterapia.
Este concepto en el campo de la medicina se define, según Maranto23, como la utilización de estrategias musicoterapéuticas para ayudar en el tratamiento de enfermedades y en el restablecimiento de la salud de las personas.
Estudios previos han revelado los beneficios que tiene la música sobre la enfermedad en diferentes patologías, como Oncología, UCI, Cirugía, incluso en pacientes con enfermedad renal en tratamiento de HD24–27. En 2006 da Silva28 midió el efecto terapéutico de la música en pacientes con ERC en tratamiento de HD, a través de un estudio cualitativo mediante el análisis de los relatos de los pacientes. Concluyó que la presencia de música en las sesiones de HD tuvo un efecto terapéutico satisfactorio. La terapia se mostró positiva en cuanto a la alteración en la percepción del tiempo, proporcionando sensaciones de bienestar, alegría, felicidad, relajación, entretenimiento, cambio en la rutina, ausencia de síntomas o pensamientos positivos. Otros autores como Bechert Carminha et al.29 analizaron la influencia del ritmo cuaternario de la música, en las emociones, en la percepción del tiempo y en la aparición de hipertensión y dolor del paciente durante la sesión de diálisis. Los resultados extraídos demuestran que más del 80% de los pacientes afirmaron sentirse mejor y también que el tiempo pasaba más rápido. En el contexto clínico, el estudio indica que la intervención musical actuaba en beneficio, pero no fue determinante en la disminución del dolor y la tensión arterial.
Como podemos observar, la mayoría de estos estudios valoran el efecto de la música sobre la ansiedad, el estrés, el dolor, sin embargo, no se ha valorado el efecto de la música sobre la calidad de vida del paciente en HD. Además, la aplicación musical en la mayoría de los casos no se ha realizado de una forma directa sino de una forma pasiva a través de música grabada.
Una de las innovaciones de nuestro estudio es el hecho de la música clásica, que se ha interpretado en vivo en el propio hospital, mientras los pacientes recibían el tratamiento de HD. Este contacto directo, tanto visual como auditivo creemos que podría potenciar el efecto producido y debería ser objeto de futuros estudios.
No hay que olvidar que el paciente con ERC presenta una CVRS muy por debajo de los valores de referencia de la población general. Los pacientes con ERC deben valorarse como seres biopsicosociales, ya que el aspecto emocional es determinante para el éxito del tratamiento y para la mejora de la calidad de vida29. Esta calidad de vida autopercibida es la que hemos tratado de mejorar en nuestro estudio a través de la exposición musical, el bienestar subjetivo de los pacientes, es decir lo que piensan y cómo se sienten con sus vidas, después de la aplicación de la música durante HD. Esta aplicación musical bien conducida ha resultado ser un recurso terapéutico relevante y ha influido favorablemente en el paciente, ya que hemos obtenido un resultado satisfactorio y de gran relevancia en 18 de las 21 escalas. Como limitaciones del estudio podemos considerar que existía escasa representación de la población que trabajaba, por lo que la escala de situación laboral no es evaluable ante la escasa representación de esta población, solo 20/90 estaban en edad de trabajar y, de estos, solo 6 trabajaban (6,6%) y de la población con vida sexual, solo 70/90 (22,2%) tenían vida sexual activa, el resto no la tenía, por edad o falta de pareja. Esto ha podido influir en la falta de resultado positivo en estas escalas encontrado en nuestro estudio. Con relación a la escala de apoyo social tampoco se modificó con la música, quizás porque la intervención fue a corto plazo y esperar cambios en este tipo de parámetros sería posible en una intervención a largo plazo, en caso de producirse.
En definitiva, podemos deducir, por un lado, que la medida de la CVRS ha de estar presente en la práctica habitual de las unidades de enfermos renales, ya que nos proporciona una información muy valiosa e importante, y nos permite actuar sobre los parámetros más afectados.
Por otro lado, que la música debería formar parte del tratamiento del paciente renal, ya que hemos demostrado que es una ayuda para mejorar su calidad de vida, y porque no es perjudicial en ninguno de los sentidos, consiguiendo así el mejor estado de bienestar posible para estos pacientes.
En conclusión, una intervención musical en directo durante el tratamiento de HD mejora la CVRS autopercibida en pacientes con ERC.
FinanciaciónLa presente investigación no ha recibido ayudas específicas provenientes de agencias del sector público, sector comercial o entidades sin ánimo de lucro.
Conflicto de interesesLos autores declaran no tener ningún conflicto de intereses.
- •Los pacientes con enfermedad renal crónica en tratamiento de hemodiálisis tienen una calidad de vida relacionada con la salud inferior a los valores de referencia de la población general. 
- •La música clásica interpretada en directo en las salas de hemodiálisis ayuda a mejorar la calidad de vida autopercibida del paciente renal. 
- •La aplicación musical en directo como adyuvante al tratamiento renal es un recurso terapéutico relevante que contribuye favorablemente a la salud del paciente. 
Al personal de enfermería de la unidad de hemodiálisis por su inestimable colaboración.
A todos los músicos que han participado en el estudio de una forma totalmente altruista y voluntaria.
 
										
				










