Introduction: On-line haemodiafiltration (OL-HDF) is currently the most effective technique and several randomised studies and meta-analyses have seen a reduction in mortality and an association directly related with convective volume is observed. Blood flow (Qb) limits the infusion rate to 25-33 % and is the main limiting factor for reaching an optimum substitution volume. With the recent incorporation of monitors with auto-substitution systems, the aim of the study was to assess the effect of Qb variations on convective volume and purifying capacity. Material and Methods: 23 patients, 17 men and 6 women, were included, with an average age of 65.5 ±10 years, time on dialysis 292.2 ± 15 minutes, which were in the OL-HDF programme with the 5008 Cordiax monitor with auto-substitution. Each patient was analysed over 5 sessions in which only the Qb was changed (250, 300, 350, 400 and 450 ml/min). In each session the substitution volume, total convective volume and parameters of dialysis were measured. The concentration of urea (60 Da), creatinine (113 Da), β2-microglobulin (11,800 Da), myoglobin (17,200 Da), prolactin (23,000 Da), α1-microglobulin (33,000 Da) and α1-acid glycoprotein (40,000 Da) in plasma was measured at the start and end of each session in order to calculate the percentage of reduction of these solutes. Results: The trans-membrane pressure was less, with Qb 250 ml/min. A significant increase in convective volume was observed with the increase in Qb, 23.7, 26.9, 30.2, 32.8 and 35.2 l/session to 250, 300, 350, 400 and 450 ml/min, respectively (P < 0.001), representing a percentage of total purified blood of 33.2, 31.2, 30.2, 28.7 and 27.3 % respectively. The percentages of reduction of urea and creatine progressively increased with Qb, slight differences were observed with β2-microglobulin and myoglobin, and no changes were observed in the larger molecules. Conclusion: For each 50 ml/min increase in Qb, the convective volume increased by between 8 and 12 ml/min. The auto-substitution system strengthens the lowest Qbs in the percentage of convective volume with regards to total purified blood. Qb increases the purifying capacity of small molecules, favouring that of β2-microglobulin and myoglobin, and does not influence molecules of a greater molecular weight.
Introducción: La hemodiafiltración on-line (HDF-OL) es actualmente la técnica más efectiva y varios estudios aleatorizados y metaanálisis han visto una reducción de la mortalidad, observándose una asociación en relación directa con el volumen convectivo. El flujo de sangre (Qb) limita el flujo de infusión al 25-33 % y constituye el principal factor limitante para alcanzar un volumen de sustitución óptimo. Con la reciente incorporación de monitores con sistema de autosustitución, el objetivo del estudio fue valorar el efecto de las variaciones del Qb sobre el volumen convectivo y la capacidad depurativa. Material y métodos: Se incluyeron 23 pacientes, 17 varones y 6 mujeres, con una edad media de 65,5 ± 10 años, tiempo de diálisis 292,2 ± 15 min, que se encontraban en programa de HDF-OL con monitor 5008 Cordiax con autosustitución. Cada paciente fue analizado en cinco sesiones en las que solo se varió el Qb (250, 300, 350, 400 y 450 ml/min). En cada sesión se determinaron el volumen de sustitución, el volumen convectivo total y los parámetros de diálisis. Se determinó la concentración de urea (60 Da), creatinina (113 Da), β2-microglobulina (11 800 Da), mioglobina (17 200 Da), prolactina (23 000 Da), α1-microglobulina (33 000 Da) y α1-glicoproteína ácida (40 000 Da) en plasma al inicio y al final de cada sesión para calcular el porcentaje de reducción de estos solutos. Resultados: La presión transmembrana fue inferior con Qb 250 ml/min. Se observó un aumento significativo del volumen convectivo con el incremento del Qb, 23,7, 26,9, 30,2, 32,8 y 35,2 l/sesión a 250, 300, 350, 400 y 450 ml/min, respectivamente (P < 0,001), representando un porcentaje de la sangre total depurada del 33,2, 31,2, 30,2, 28,7 y 27,3 %, respectivamente. Los porcentajes de reducción de urea y creatinina aumentaron progresivamente con el Qb, se observaron ligeras diferencias con la β2-microglobulina y la mioglobina, y no se observaron cambios en las grandes moléculas. Conclusión: Por cada 50 ml/min de aumento del Qb el volumen convectivo aumenta entre 8 y 12 ml/min. El sistema de autosustitución potencia los Qb más bajos en el porcentaje del volumen convectivo respecto a la sangre total depurada. El Qb aumenta la capacidad depurativa de las moléculas pequeñas, favorece la de la β2-microglobulina y la mioglobina, y no influye en moléculas de superior peso molecular.
INTRODUCTION
Post-dilution on-line haemodiafiltration (OL-HDF) is the most-used type because, using the dialysate itself, it allows large substitution volumes to be obtained, which in turn allows maximum clearance of uraemic toxins, as well as good haemodynamic tolerance, thereby reducing the complications associated with the conventional therapy1-3. The ESHOL (On-line Haemodiafiltration Survival Study)4 demonstrated higher survival in patients who received this method of treatment and recent meta-analyses have confirmed the decrease in overall and cardiovascular mortality5,6. In post-hoc analyses of the three clinical trials in which mortality was the main variable4,7,8, an association was observed between the convective volume and survival.
A new generation of dialysis machines with auto-substitution systems has improved the software to increase the total convective volume, thereby optimising infusion flows (Qi) in relation to the intradialysis changes, achieving a 13 % increase in the convective volume and a 3.5 % increase in the percentage between the convective volume and total processed blood9. This auto-substitution is carried out using the monitor software based on the dynamic analysis of the pressure pulse signals that are generated when blood passes through the filter: using an internal algorithm the machine adjusts the Qi to the highest possible volume at each moment.
The main limiting factors in achieving high convective volumes are blood flow (Qb), time and haemoconcentration in the dialyser. To better understand how the internal algorithm behaves in relation to Qb, the study objective was to assess the effect of OL-HDF with auto-substitution with variations in Qb on the convective volume and purifying capacity.
PATIENTS AND METHOD
This study was performed in a hospital in patients who were stable on haemodialysis. We included 23 patients, 17 males and 6 females with a mean age of 65.5 ± 10 years (range 47-88 years), who had been on a haemodialysis programme for an average of 45.5 ± 56.7 months (range 3-245 months). The aetiology of chronic renal failure was, in one case, chronic glomerulonephritis (4.3 %), in two, diabetic nephropathy (8.7 %), in one, polycystic kidney disease (4.3 %), in three, vascular nephropathy (13 %), in three, urological causes (13 %), in two, systemic diseases (8.7 %), in one, tubulointerstitial nephropathy (4.3 %) and in ten, of unknown origin (43.4 %). All received dialysis through an arteriovenous fistula. Residual renal function was negligible in all patients, except in three, who had daily residual diuresis greater than 300 ml.
Each underwent five different dialysis sessions in which only Qb changed: 250, 300, 350, 400 or 450 ml/min. The sessions were carried out in the midweek session and the order was randomised. The other dialysis parameters remained constant in each session studied: 1.4 m2 polysulfone dialyser (HF60 Cordiax); time on dialysis 292.2 ± 15 min (240-300 min); dialysate flow 500 ml/min; needle diameter 15G in 21 patients and 16G in the two remaining patients; 5008 Cordiax monitor, post-dilution OL-HDF with auto-substitution system.
The dialysis parameters recorded in each dialysis session were: time scheduled, real duration, dialyser, dialysate flow, Kt measured automatically by ionic dialysance, recirculation rate measured by the temperature module, blood pressure (BP), venous pressure (VP), transmembrane pressure (TMP), initial and final haemoglobin, ultrafiltration, volume of blood processed and substitution volume.
The plasma concentrations of urea (60 Da), creatinine (113 Da), β2-microglobulin (11,800 Da), myoglobin (17,200 Da), prolactin (23,000 Da), α1-microglobulin (33,000 Da) and α1-acid glycoprotein (40,000 Da) were determined at the start and end of each session to calculate the reduction percentage of these solutes. The post-dialysis sample extract was carried out in the arterial line after decreasing the Qb to 50-100 ml/min for one minute. Urea and creatinine were determined using the routine laboratory method (ADVIA 2400 Chemistry System Siemens Healthcare Diagnostics, IL, USA). β2-microglobulin was determined by immunonephelometry (The Binding Site Ltd., Birmingham, UK by immunonephelometry with the Dade-Behring BNII Analyser) with a normal range of 0-2.3 mg/l. The myoglobin concentration was determined using the sandwich enzyme immunoassay method (ADVIA Centaur, Siemens Healthcare Diagnostics, IL, USA), with a normal range of 0-100 ng/ml. Prolactin concentration was determined using the sandwich enzyme immunoassay method (ADVIA Centaur, Siemens Healthcare Diagnostics). IL, USA) with a normal range of 2.8-15 ng/ml. The concentration of α1-microglobulin was determined by immunonephelometry (Siemens BNII Analyser), with a normal range of 5-25 mg/l. The concentration of α1-acid glycoprotein was determined by nephelometry (The Binding Site Ltd.), with a normal range of 0.38-1.18 g/l.
To correct haemoconcentration during dialysis, the pre/post-treatment reduction percentages in plasma of β2-microglobulin, myoglobin, prolactin, α1-microglobulin and α1-acid glycoprotein were calculated using the Bergström and Wehle formula10.
Statistical analysis was performed using the SPSS statistical software version 20.0 and the results were expressed as a mean ± standard deviation. To analyse the statistical significance of quantitative parameters, we used the Student t-test for paired data or the ANOVA test for repeated data. Values of P < 0.05 were considered to be statistically significant.
RESULTS
All dialysis sessions were performed without any notable clinical incidents. There was no coagulation of the lines or the dialyser in any session. It was only noted that in three sessions (two with Qb 250 and one with Qb 300 ml/min), in the last half-hour of dialysis, that the method was changed from OL-HDF to haemodialysis. The anticoagulant used was sodium heparin in 9 %, low molecular weight heparin (nadroparin) in 78 %, and the remaining 13 % was carried out without heparin.
There were no differences in dialysis parameters, dialysate flow, actual duration of the sessions, initial weight, final weight, weight gain, or in the measurements by the dialysis monitor of initial and final haematocrit (Table 1). The only and expected exception was the recirculation rate measured by the dialysis machine with the temperature module (Table 1).
The auto-substitution system attempts to maintain TMP within margins of effectiveness and attempts to avoid haemoconcentration. The results obtained show a significantly lower TMP with Qb 250 ml/min, without significant differences in the other four study situations (Figure 1).
The substitution volume was logically significantly higher with the increase in Qb (Table 2). Table 2 also displays BP, VP, total convective volume (substitution volume and weight gain); the average Qi in each situation, increasing from 76.3 ± 9.3 ml/min with Qb 250 to 114.8 ± 10 ml/min with Qb 450; ultrafiltration flow, taking into account the total convective volume; and total blood processed by the monitor. When we calculated the percentage of the effective convective volume with respect to total processed blood, we observed that this figure was significantly higher when we used lower Qb, from 33.2 ± 3.2 % with Qb 250 ml/min to 27.3 ± 2.1 % with Qb 450 ml/min (Figure 2).
The increase in Qb showed an increase in the dialysis dose and the clearance of small molecules. Kt increased from 52.9 ± 4.0l with Qb 250 to 60.3 ± 5.3, 67.0 ± 6.0, 71.9 ± 6.7, 76.2 ± 6.2 l, with Qb 300, 350, 400 and 450 respectively, P < 0.001 in all situations. Figure 3 displays differences between the reduction percentage of urea and creatinine, with statistically significant differences in all the situations.
When we assessed clearance of β2-microglobulin and myoglobin, we observed differences when the Qb increased by 100 ml/min or more in β2-microglobulin and more than 150 ml/min in myoglobin (Figure 4).
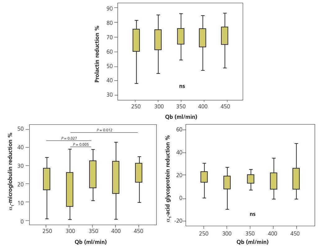
There were no major differences for higher molecular weight molecules, prolactin, α1-microglobulin and α1-acid glycoprotein (Figure 5). Only with Qb 300 ml/min was the reduction percentage of α1-microglobulin lower than that of Qb 350 and 450 ml/min.
DISCUSSION
This study confirms the increase in the total convective volume with post-dilution OL-HDF with an increase in Qb and it allows us to analyse the behaviour of auto-substitution in the update of the 5008 CorDiax monitor. We observed that the effective convective volume percentage with respect to total processed blood was lower when we used higher Qb, between 1 % and 2 % lower for each increase of 50 ml/min of Qb. We also observed that the auto-substitution system maintained stable TMP values, with the exception of Qb of 250 ml/min, which was significantly lower. A higher Qb increases the clearance capacity of small molecules, it favours that of β2-microglobulin and myoglobin, and it does not influence higher weight molecules.
OL-HDF is a safe technique, it improves intradialysis haemodynamic tolerance4,11 and it increases survival4-6. The EuDial group redefined haemodiafiltration as the blood clearance treatment that combines diffusive and convective transport using a high flux dialyser with an ultrafiltration coefficient higher than 20 ml/mmHg/h/m2, a sieving coefficient for ß2-microglobulin greater than 0.6 and a percentage of effective convective transport greater than 20 % of the total processed blood12. In this study it was confirmed that these conditions were fulfilled in the five study situations, with an effective convective transport percentage between 27 % and 33 % of the total processed blood.
The convection dose continues to be the main issue to resolve over the coming years. It is currently recommended to achieve a total convective volume greater than 21 l per session, based on the results of secondary analyses of the main clinical trials, in the absence of more conclusive scientific evidence13. Logically, since it was a secondary analysis, there was a selection bias and this recommendation should be confirmed with future clinical trials.
The main limiting factors in achieving high convective volumes are Qb, time on dialysis and haemoconcentration in the dialyser. Thanks to developments in the design of the dialysers, an increase in the convective volume has been achieved with the increased size of pores or the diameter of the capillary fibres. Another advancement has been the development of new dialysis monitors that allow an automatic Qi in order to maximise the convective volume. The updating of the 5008 CorDiax monitor software is based on the dynamic analysis of the pressure pulse signals that are generated when blood passes through the filter. Through an internal algorithm the machine adjusts the Qi to the highest possible volume at each moment. This change of software has resulted in a 13 % increase in the total convective volume9. However, we have little information about this algorithm and its behaviour at different Qb. This study allows us to better understand how it functions practically and shows us what percentage of the effective convective volume with respect to total processed blood was higher at lower Qb, partially offsetting the lower convective volume that is reached with lower Qb.
Achieving adequate convective volumes may be complicated in patients with limited Qb (patients with catheters or malfunctioning vascular access). Although, it has also been shown that the prescription of Qb is more a matter of treatment policy in each dialysis unit than the characteristics of the patients themselves14,15. The main difference of the ESHOL4 study with respect to the CONTRAST and Turkish studies7,8 in achieving higher substitution volumes was in the Qb. This study shows that for every 50 ml/min increase in Qb there is between an 8 and 12 ml/min increase in convective flow (between 0.50 and 0.75 litres per hour).
TMP plays a key role in the internal algorithm of the Qi adjustment system. The TMP is usually obtained by adding BP and VP, dividing by two and subtracting the dialysate pressure. In this study, we have seen how this TMP has remained stable between 180 and 190 mmHg, probably the target set by the internal system. The only exception was observed with Qb of 250 ml/min, when the TMP was significantly lower, between 10 and 20 mmHg lower than the rest. The most likely explanation for this lower pressure is the limitation due to haemoconcentration, also expressed as a filtration fraction or the percentage of effective convective volume with respect to the total processed blood. The latter value will probably reach the maximum permitted (around 33 %), and as such, if the TMP increases, so will this percentage with respect to total purified blood, with severe risks of coagulation of the lines or dialysers. Indeed, in two sessions with Qb of 250, at the end of the session, the dialysis machine cancelled the treatment with OL-HDF in favour of haemodialysis, probably due to the increased risk of haemoconcentration. It was pleasing to see that the substitution flow adjustment system was effective in all the study situations, maximising the convective volume without any complications.
It is well-known that the Qb increases the clearance capacity by diffusion16, with an increase in urea and creatinine clearance, Kt and the percentage of reduction of urea and creatinine being observed in this study. When we want to clear medium-sized molecules, the convective process is essential. The clearance of β2-microglobulin is proportional to the convective volume17 and in this study significant increases in β2-microglobulin clearance were observed when the increase in convective volume was greater than 5 litres. The greater effectiveness of convection is shown beyond β2-microglobulin18 and different clearance profiles have been observed with changes in volume and/or Qi19. In this study, few differences in molecules greater than 20 KDa were observed, probably because the maximum convective capacity was maintained in each situation.
CONCLUSION
Increasing Qb is probably the best option for achieving the highest convective volume. For every 50 ml/min increased, the convective volume increases more than half a litre per hour. The auto-substitution system boosts the percentage of total purified blood at lower Qb. Qb increases the capacity to clear small molecules, it favours that of β2-microglobulin and myoglobin, and does not influence larger molecules.
Conflicts of interest
The authors declare that they have no conflicts of interest related to the contents of this article.
Table 1. Comparison of dialysis parameters in the five blood flow variation situations (n=23)
Table 2. Comparison of substitution volume, total convective volume, infusion flow, ultrafiltration flow and purified blood at different blood flows (n=23)
Figure 1. Variations in transmembrane pressure with the auto-substitution system with variations in blood flow; n=23, ANOVA for repeated data
Figure 2. Comparison of the total convective volume and its percentage with respect to purified blood in the five sessions with different blood flows; n=23, ANOVA for repeated data
Figure 3. Reduction percentage of urea and creatinine in the five study situations. ANOVA for repeated data
Figure 4. Reduction percentage of &
Figure 5. Reduction percentage of prolactin, &











