La hemodiálisis domiciliaria (HDD) con monitores de bajo flujo de líquido de diálisis ha ganado popularidad en los últimos años gracias a su sencillez de diseño, portabilidad y capacidad de desplazamiento. No obstante, existen dudas respecto a la adecuación que este tipo de técnica ofrece, pues utiliza monitores con baño a flujos bajos y lactato. El objetivo de este estudio fue demostrar los beneficios clínicos de la HDD con el monitor NxStage System One® introducido recientemente en España.
Presentamos los resultados de un estudio observacional, retrospectivo que incluyó de manera no seleccionada a los primeros pacientes con HDD corta mediante este monitor en 12 centros en España. Se analizó la evolución clínica de 86 pacientes a 0, 6 y 12 meses, incluyendo datos relacionados con la prescripción, evolución de parámetros analíticos de dosis de diálisis, anemia, metabolismo óseo-mineral, evolución de la diuresis residual, utilización de fármacos y datos relacionados con permanencia en la técnica, y causas de salida a lo largo del seguimiento. Pudimos demostrar que este monitor proporcionó una adecuada dosis de diálisis, con tasa óptima de ultrafiltración, con mejoría de los principales marcadores bioquímicos de adecuación en diálisis. El uso de esta técnica se asoció con una disminución de antihipertensivos, captores del fósforo y agentes eritropoyéticos, observándose, además, muy buenos resultados de supervivencia tanto del paciente como de la técnica. La sencillez de este monitor unida a sus buenos resultados clínicos debería facilitar el crecimiento y utilización de la HDD, tanto en pacientes incidentes como prevalentes.
Home hemodialysis (HHD) with low-flow dialysate devices has gained popularity in recent years due to its simple design, portability, and ability to provide greater freedom of movement for our patients. However, there are doubts about the adequacy that this technology offers, since it uses monitors with low-flow bath and lactate. The aim of this study was to demonstrate the clinical benefits of low-flow HHD with the NxStage System One® recently introduced in Spain. We present the results of an observational, retrospective cohort study that included the first patients who started short daily HHD with this device in 12 Spanish centers. We analyzed the evolution of 86 patients at 0, 6 and 12 months, including data related to prescription, and evolution of biochemical parameters related to dialysis dose, anemia, mineral-bone metabolism; evolution of residual renal function, medication usage, and causes of withdrawal during the followup. We were able to demonstrate that this NxStage System One® monitor, in patients with HHD, have provided an adequate dialysis dose, with optimal ultrafiltration rate, with improvement of main biochemical markers of dialysis adequacy. The usage of this technique was associated to a decrease of antihypertensive drugs, phosphate binders and erythropoietin agents, with very good results both patient and technique survival. The simplicity of the technique, together with its good clinical outcomes, should facilitate the growth and utilization of HHD, both in incident and prevalent patients.
Existe cada vez más evidencia de los múltiples beneficios que la hemodiálisis (HD) con esquemas de diálisis más intensivos puede proporcionar a los pacientes en terapia renal sustitutiva (TRS)1–7. Sin embargo, estas pautas de diálisis más frecuentes o largas son difíciles de implementar en un centro por temas logísticos, de infraestructura, personal y costes8. Por el contrario, la hemodiálisis domiciliaria (HDD) proporciona un ambiente óptimo para poder llevar a cabo este tipo de terapias5,8–11, siendo actualmente una alternativa más eficaz y eficiente que la HD convencional. Comparada con la HD en centro, la HDD se asocia a mayor supervivencia y mejor calidad de vida, siendo además una técnica coste-eficiente que potencia la autonomía del paciente6,8,10,12–14.
Desde marzo de 2014 se dispone en España del sistema NxStage System One® para el tratamiento de pacientes en HD. Este sistema está diseñado específicamente para la HDD, siendo más pequeño y sencillo que los monitores convencionales, no requiere instalación de tratamiento de agua para la producción del líquido de diálisis, lo que le ha permitido erigirse como el primer monitor transportable disponible en España14. Sin embargo, al ser un sistema portable, precisa la utilización de un bajo flujo de líquido de diálisis (200mL/min como máximo), planteando la duda de si este monitor es capaz de alcanzar una dosis de diálisis adecuada y cumplir con los objetivos de diálisis recomendados por las guías actuales15,16.
Por este motivo, un grupo de nefrólogos nos dispusimos a revisar la evolución de los primeros pacientes en España tratados con este monitor y analizar sus resultados. El objetivo de este estudio fue describir y demostrar los beneficios clínicos de la HDD corta diaria de bajo flujo utilizando el monitor NxStage System One®, recientemente introducido en España, incluyendo resultados bioquímicos a corto plazo y resultados clínicos a más largo plazo.
Material y métodosDiseño del estudioEstudio observacional retrospectivo que incluyó de manera no seleccionada a los primeros pacientes que iniciaron HDD corta mediante monitor de bajo flujo de baño: NxStage System One® (Fresenius Medical Care, Alemania) en 12 hospitales de España. Los centros fueron: Hospital General de Castellón, Hospital Lucus Agusti, Hospital de Teruel, Hospital General de Valencia, Fundación Puigvert, Hospital de Poniente, Hospital Universitario General de Asturias, Hospital Virgen de las Nieves, Hospital de Burgos, Hospital Universitario Dr. Peset, Hospital Universitario La Paz y Complejo Hospitalario de Navarra. Se excluyeron aquellos pacientes que iniciaron HDD con otro sistema diferente a NxStage System One®.
El objetivo primario del estudio fue analizar retrospectivamente parámetros clínicos y analíticos relacionados con la adecuación en diálisis de pacientes en HDD tratados con este sistema a los 0, 6 y 12 meses. El objetivo secundario fue analizar la evolución clínica a largo plazo de los pacientes, incluyendo la permanencia en programa de HDD, y la salida por trasplante, paso a HD en centro y muerte. Los pacientes iniciaron la HDD entre 2014 y 2016, y fueron seguidos hasta el 31 de octubre de 2020.
Descripción de la técnica de diálisisEl monitor NxStage System One® es un monitor portátil de HD, que emplea un baño de diálisis ultrapuro, con tampón de lactato, a bajo flujo (150-200mL/min), invirtiendo la ratio entre el flujo de dializado y el flujo de sangre habitual en los monitores convencionales de diálisis17. No requiere la instalación de una planta de agua ni modificar el suministro de electricidad del domicilio. El sistema permite utilizar un líquido de diálisis mediante bolsas de 5 litros premezcladas, o bien, mediante la producción in situ del líquido de diálisis en el domicilio del paciente, tras mezclar un concentrado con agua corriente del grifo («Pure flow SL») sin necesidad de un sistema de ósmosis inversa14. Con cualquiera de los dos métodos, el flujo de baño es de 150-200mL/min, mientras que la composición del líquido de diálisis obtenido es sodio 140 mEq/L, potasio 1-2 mEq/L, calcio 3 mEq/L, magnesio 1 mEq/L, lactato 40-45 mEq/L, cloro 100 mEq/L y glucosa 1g/L. El flujo sanguíneo utilizado habitualmente es de 300-450mL/min. El sistema utiliza un filtro de polisulfona de alto flujo y 1.6 m2 de superficie. Los datos de aclaramiento del dializador in vitro, con un flujo de sangre de 400 a 500mL/min y un flujo de dializado de 200mL/min, se han reportado de la siguiente manera: urea 196mL/min, creatinina 184mL/min y vitamina B12 145-150mL/min18. Previo al inicio de HDD en el domicilio, todos los pacientes fueron instruidos en su centro en la técnica de HDD, incluyendo la punción de la fístula o conexión del catéter venoso central, la programación del monitor y la resolución de problemas, durante un periodo variable de entrenamiento. Aunque el sistema NxStage System One permite realizar hemodiálisis o hemofiltración, según se utilice el líquido de diálisis como baño de diálisis o como líquido de reposición17, todos los pacientes incluidos en el estudio recibieron exclusivamente hemodiálisis.
Descripción de las variables y recogida de datosLa recogida de datos se realizó durante 2017, utilizando un formulario digital estandarizado en Excel, que incluía parámetros demográficos, clínicos y analíticos, al inicio de la técnica, a los 6 y a los 12 meses. Los datos se manejaron de forma anónima y fueron cedidos de manera voluntaria desde los distintos hospitales.
Los datos clínicos incluyeron, entre otros, la causa de la enfermedad renal, el tiempo en terapia renal sustitutiva, la diuresis residual, la duración del entrenamiento, el tipo de acceso vascular y la técnica de punción. Los parámetros analíticos que se midieron fueron los niveles sanguíneos de hemoglobina, calcio, fósforo, albúmina, bicarbonato, potasio, β2-microblogulina y la proteína C reactiva. La dosis de diálisis en cada sesión se estimó mediante el Kt/V equilibrado (Kt/Ve), mientras que la dosis de diálisis semanal se estimó mediante el Kt/V estándar (Kt/Vstd), siguiendo las fórmulas previamente descritas18–20. De acuerdo con las guías KDOQI, se recomendó un Kt/Vstd mínimo de 2,1 por semana15. Otros parámetros relacionados con la diálisis recogidos fueron la tasa de ultrafiltración, el peso seco, el número de sesiones y horas de diálisis a la semana, así como el volumen del líquido de diálisis utilizado a los 0, 6 y 12 meses. En cuanto al tratamiento concomitante, se recogieron el número de antihipertensivos y captores del fósforo diarios utilizados, la dosis semanal de agentes eritropoyéticos y la proporción de pacientes en tratamiento con hierro intravenoso. Las unidades de darbepoetina alfa se convirtieron en unidades equivalentes de epoetina multiplicando por 200.
Adicionalmente, los centros recogieron datos sobre resultados clínicos a largo plazo, incluyendo el trasplante de riñón, el paso a HD en el centro y muerte. Los pacientes iniciaron la HDD entre 2014 y 2016, y fueron seguidos hasta el 31 de octubre de 2020.
Análisis estadísticoSe utilizaron técnicas descriptivas para resumir las características de los pacientes y las pautas de HD prescritas. Las variables cuantitativas se presentaron como medias±DE o con medianas con rangos intercuartílicos, según presentaran distribución normal o no. Las variables cualitativas se presentaron como frecuencia y porcentaje de pacientes por categoría.
Para evaluar los cambios en los parámetros clínicos, analíticos y el uso de medicamentos con respecto al nivel basal, se utilizaron modelos lineales de efectos mixtos. Para cada parámetro se evaluó la significación estadística de la tendencia lineal en los tiempos medidos. La prueba se derivó de un modelo lineal mixto del parámetro retrocedido en el tiempo, con efectos aleatorios (intersección y pendiente) para cada paciente y centro. Se realizó un ajuste de covariables para el nivel basal del parámetro como efectos fijos, y paciente y centro como términos aleatorios. Con este método se consideró no sólo el valor basal de cada parámetro, sino también la naturaleza dependiente (y correlacionada) de las variables repetidas en el tiempo en cada paciente.
Mediante curvas de supervivencia estimamos la incidencia acumulada de trasplante de riñón, el paso a la hemodiálisis en el centro y la supervivencia a los 5 años después del inicio de la HHD o el 31 de octubre de 2020.
Los análisis se realizaron con el software R (versión 4.0.3; The R Project for Statistical Computing, Viena, Austria).
ResultadosCaracterísticas de los pacientesSe incluyeron un total de 86 pacientes, con una edad media de 52,6±13,8 años. En la tabla 1 se muestran las características demográficas de los pacientes al inicio de la técnica. El 67% de los pacientes eran hombres. Casi un tercio de los pacientes (28%) tenían glomerulonefritis como diagnóstico de enfermedad primaria, seguidos de un 14% con nefropatía diabética. La mayoría de los pacientes (n=35; 41%) habían recibido HD convencional (3 días/semana) en centro, mientras que 18 (21%) y 19 (22%) pacientes procedían de la consulta de enfermedad renal crónica avanzada (ERCA) (incidentes) y de diálisis peritoneal, respectivamente. Un 10% (n=9) de los pacientes procedía de trasplante. El tiempo medio previo en terapia renal sustitutiva fue muy variable, 18 (RIQ: 3-57) meses. La mitad de los pacientes se dializaba a través de catéter (55%). De los pacientes que se dializaban con fístula, el 85% se puncionaban con la técnica del ojal, y de éstos, un 23% mediante autopunción. Ningún paciente se dializaba a través de una fístula protésica.
Características de los pacientes (n=86)
| Valor | |
|---|---|
| Edad media (años) | 52,6±13,8 |
| Sexo varón (n, %) | 58 (67%) |
| IMC (kg/m2) | 25,8±4,4 |
| Enfermedad basal (n, %) | |
| Nefroangiosclerosis | 8 (9%) |
| Nefropatía diabética | 12 (14%) |
| Glomerulonefritis | 24 (28%) |
| Poliquistosis | 8 (9%) |
| Intersticial | 5 (6%) |
| Desconocido | 13 (15%) |
| Otros | 16 (19%) |
| Índice de comorbilidad de Charlson | 4,2±2,2 |
| Procedencia (n, %) | |
| ERCA | 18 (21%) |
| HD convencional (3 días/semana) | 35 (41%) |
| HD intensiva (5 días/semana) | 5 (6%) |
| DP | 19 22%) |
| Trasplante | 9 (10%) |
| Tiempo medio previo en diálisis (meses) | 18 (3-57) |
| Incluido en lista de espera de trasplante (n, %) | 48 (56%) |
| Viaja con el monitor NxStage® (n, %) | 33 (38%) |
| Tiempo de entrenamiento (Media de Sesiones) | 25,3±13,4 |
| Tipo acceso vascular (n, %) | |
| Catéter | 47 (55%) |
| Fístula nativa | 39 (45%) |
| Fístula protésica | 0 |
| Técnica de canulación de la fístula (n, %) | |
| Rotatoria (en escalera) | 6 (15%) |
| Ojal (button hole) | 33 (85%) |
| Autopunción de la fístula (n, %) | 9 (23%) |
Si no se especifica lo contrario, las variables cuantitativas se expresan como medias±DE.
ERCA: enfermedad renal crónica avanzada; DP: diálisis peritoneal; IMC: índice de masa corporal.
La mayoría de los pacientes tenían una prescripción de 5 o 6 sesiones por semana (tabla 2), porcentaje que se mantuvo constante durante todo el seguimiento. Respecto a las horas de diálisis por sesión, la mayoría de los pacientes se dializó entre 2,5 y 2,9h por sesión desde el inicio y durante todo el seguimiento. Aunque se observó una tendencia ascendente en la proporción de pacientes que se dializaba entre 2-2,4h/sesión, en detrimento de los pacientes que se dializaban más de 3h/sesión, estos cambios no fueron significativos (p=0,16). Del mismo modo, las horas de diálisis semanales se mantuvieron sin cambios a lo largo del primer año, siendo superiores a las 14h semanales. La mayoría de los pacientes (65-76%) realizaron sesiones de 30 L de dializado por sesión tanto a los 0 como a los 6 y 12 meses, sin observarse tampoco cambios significativos en el tipo de dializado empleado. El uso de heparina también se mantuvo estable, siendo necesaria en alrededor de un tercio de los pacientes a lo largo del estudio.
Evolución de la pauta de diálisis prescrita y la dosis de diálisis alcanzada
| Basal (n=86) | 6 m (n=73) | 12 m (n=60) | p | |
|---|---|---|---|---|
| Sesiones/semana (%) | ||||
| 4 | 2% | 3% | 3% | 0,53 |
| 5 | 47% | 42% | 48% | |
| 6 | 49% | 52% | 59% | |
| 7 | 2% | 3% | 0% | |
| Horas/sesión (%) | ||||
| 2,0-2,4 | 2% | 5% | 11% | 0,16 |
| 25-2,9 | 68% | 73% | 78% | |
| 3,0-3,4 | 28% | 19% | 8% | |
| > 3,5 | 2% | 3% | 3% | |
| Horas/Semana | 14,7±2,5 | 14,6±2,5 | 14,0±1,8 | 0,71 |
| Tipo de dializado (%) | ||||
| Bolsas premezcladas | 19% | 20% | 35% | 1,0 |
| Concentrado (PureFlow®) | 81% | 80% | 65% | |
| Litros dializado/sesión (%) | ||||
| 20 | 6% | 8% | 3% | 0,89 |
| 25 | 17% | 17% | 30% | |
| 30 | 76% | 74% | 65% | |
| >35 | 1% | 1% | 2% | |
| Uso de heparina (%) | ||||
| Ninguno | 60% | 60% | 67% | 0,43 |
| Bajo peso molecular | 34% | 34% | 27% | |
| No fraccionada | 6% | 6% | 6% | |
| PRU (%) | 51±11 | 51±10 | 52±9 | 0,52 |
| Kt/V equilibrado | 0,69±0,24 | 0,68±0,18 | 0,69±0,18 | 0,88 |
| Kt/V estándar | 2,8±0,6 | 2,8±0,5 | 2,8±0,4 | 0,71 |
| Volumen de ultrafiltración (L) | 0,965±0,630 | 0,955±0,649 | 0,865±0,525 | 0,90 |
| Tasa ultrafiltración (mL/kg/h) | 5,1±3,3 | 5,2±3,5 | 4,6±2,5 | 0,99 |
Si no se especifica lo contrario, las variables cuantitativas se expresan como medias±DE.
PRU: porcentaje de reducción de urea
Los detalles de la dosis de diálisis alcanzada se muestran en la tabla 2. Mediante la HDD de bajo flujo, la media de Kt/Vstd fue de 2,8 en los meses 0, 6 y 12. En la misma línea, no se observaron cambios significativos en la dosis de diálisis estimada mediante el porcentaje de reducción de urea (PRU) y el Kt/Ve a largo de la evolución. El volumen de ultrafiltración medio fue inferior a 1 L/sesión durante todo el estudio, con una tasa de ultrafiltración media de 4,96mL/kg/h. La dosis de diálisis alcanzada fue similar entre los pacientes que utilizaron bolsas premezcladas y aquellos que utilizaron concentrado (PureFlow®) como dializado (tabla 3).
Parámetros clínicos y analíticosEn la tabla 4 se muestra la evolución durante el primer año de tratamiento con HDD de los parámetros relacionados con la nutrición, anemia, inflamación, β2-microglobulina, metabolismo óseo mineral, electrolitos y diuresis residual. Durante todo el estudio se apreció una mejoría en los parámetros nutricionales, aumentando el peso seco y los niveles de albúmina de manera significativa desde el sexto mes y hasta el final del estudio. En cuanto a los niveles de hemoglobina, se observó una tendencia ascendente no significativa (fig. 1A), mientras que el estado inflamatorio, estimado mediante los niveles de proteína C reactiva y β2-microblogulina, se mantuvo sin cambios a lo largo de la evolución. Los niveles de calcio y fósforo disminuyeron de manera significativa a partir del mes 6, permaneciendo en rangos de normalidad en el mes 12 (fig. 2A). Aunque de manera discreta, también se redujeron significativamente los niveles de potasio, permaneciendo estables los niveles de bicarbonato sérico alrededor de 24 mEq/L durante todo el estudio (tabla 4). Al analizar la diuresis residual, observamos una disminución significativamente del volumen medio de 1.000mL/día al inicio del estudio hasta 600mL/día al final del mismo. Aunque este resultado era de esperar, cabe mencionar que más de la mitad de los pacientes (n=60) mantuvieron la función renal residual al final del seguimiento.
Evolución de los parámetros clínicos y bioquímicos de los pacientes (n=86)
| Basal (n=86) | 6 m (n=73) | 12 m (n=60) | p | |
|---|---|---|---|---|
| Nutrición | ||||
| Albúmina (g/dL) | 394±0.4, | 4,15±0,4 | 4,0±0,44 | 0,01 |
| Peso secoa (kg) | 69,0 (60,3-81,3) | 72,3 (60-81,1) | 71,8 (66,8-81,0) | 0,007 |
| Anemia | ||||
| Hemoglobina (g/dL) | 11,3±1,4 | 11,2±1,3 | 11,8±1,4 | 0,07 |
| Inflamación | ||||
| Proteína C reactivaa (mg/L) | 3,7 (1,7-12,0) | 3,8 (1,3-8,5) | 4,1 (2,1-7,2) | 0,75 |
| β2-microglobulina (mg/L) | 23,1±11,3 | 22,7±11,6 | 21,3±7,2 | 0,15 |
| Metabolismo óseo mineral | ||||
| CaALB (mg/dL) | 9,7±1,4 | 8,9±0,8 | 9,1±0,8 | 0,002 |
| Fósforo (mg/dL) | 5,3±2,0 | 4,7±1,2 | 4,1±1,0 | <0,001 |
| Electrolitos | ||||
| Potasio (mEq/L) | 4,5±0,8 | 4,4±0,7 | 4,2±0,8 | 0,03 |
| Bicarbonato (mEq/L) | 23,8±3,39 | 24,4±3,11 | 24,0±2,81 | 1,0 |
| Diuresis residuala (mL/d) | 1.050 (200-2.800) | 1.000 (2.096-1.600) | 600 (125-1.500) | <0,001 |
CaALB: calcio sérico corregido por albúmina.
En la tabla 5 se muestra el uso de antihipertensivos, estimulantes de la eritropoyesis, terapia férrica endovenosa y captores del fósforo al mes 0, 6 y 12. La mediana de agentes antihipertensivos se redujo significativamente a la mitad durante la evolución. De igual forma, la dosis equivalente de agentes estimuladores de la eritropoyesis también se redujo a la mitad, pasando de 6.000 (3.000-10.000) a 3.000 (1.500-8.000) UI/semana (fig. 1B), sin modificarse los niveles de hemoglobina ni uso de hierro intravenoso. Por último, la mediana en el número de comprimidos diarios de captores del fósforo se redujo de forma significativa de 3 a 2 comprimidos diarios ya desde los primeros 6 meses y hasta el final del estudio (fig. 2B).
Evolución del tratamiento farmacológico
| Basal(n=86) | 6 m(n=73) | 12 m(n=60) | p | |
|---|---|---|---|---|
| Antihipertensivosa (fármacos/día) | 2 (1-3) | 1 (0-2) | 1 (0-2) | <0,001 |
| Estimuladores eritropoyesisa (UI/s) | 6.000(3.000-10.000) | 4.000(2.000-8.500) | 3.000(1.500-8.000) | <0,001 |
| Hierro intravenoso (%) | 62% | 54% | 54% | 0,63 |
| Captores fósforoa (cps/día) | 3 (2-5) | 2 (1-3) | 2 (0-4) | 0,03 |
cps/día: comprimidos al día; UI/s: Unidades Internacionales equivalentes por semana.
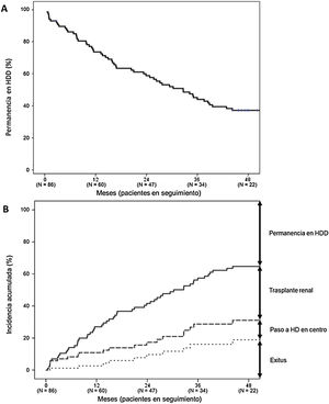
Tras una mediana de seguimiento de 30 (11-51) meses, 24 (28%) pacientes permanecieron en HDD (fig. 3A), siendo el trasplante (n=38, 44%) la principal causa de salida (fig. 3B). Trece (15%) pacientes fallecieron, siendo la enfermedad cardiovascular (cardiopatía isquémica, n=4; ictus, n=1; rotura de aneurisma de aorta, n=1; muerte súbita, n=1) y las neoplasias (n=3), las principales causas. Otras causas de muerte incluyeron la perforación intestinal (n=1), la infección abdominal (n=1), y la parada cardíaca durante un procedimiento intervencionista (n=1). 11 (13%) pacientes volvieron a HD en centro debido a ictus del paciente (n=3), cansancio del paciente (n=2) y del cuidador (n=2), y otras causas (n=4).
Las tasas a largo plazo de trasplante, paso a HD en centro y muerte fueron de 17,3, 5,0 y 5,9 eventos por 100 pacientes/año, respectivamente.
DiscusiónLa HDD confiere múltiples beneficios a nuestros pacientes1–6; sin embargo, la prevalencia de pacientes en esta modalidad de tratamiento sigue siendo muy baja tanto a nivel mundial como a nivel nacional, suponiendo menos del 2% de los pacientes en diálisis en nuestro medio21–23. Diversos motivos dificultan el desarrollo de la HDD, incluyendo razones económicas, de organización y logística, así como barreras relacionadas con el personal sanitario, con el paciente o con el cuidador24,25. Conscientes de la versatilidad y de los beneficios que la HDD confiere, cada vez más nefrólogos apostamos por esta modalidad de tratamiento26,27, ofertándola con más frecuencia desde la consulta de enfermedad renal avanzada (ERCA) e incluso en los momentos en los que un paciente requiere un cambio en su modalidad de tratamiento28,29. Los avances tecnológicos de los últimos años han permitido simplificar los monitores de HDD, contribuyendo sin duda a un mayor uso y aceptación por parte de los pacientes al disminuir algunas barreras30,31. El presente estudio describe, por primera vez, los resultados clínicos de los primeros pacientes tratados en España con el sistema transportable de hemodiálisis domiciliaria NxStage System One®.
Este sistema proporciona la ventaja de obtener el líquido de diálisis ya sea mediante un concentrado ácido utilizando agua del grifo (sin necesidad de un sistema de ósmosis inversa), o mediante el uso de bolsas de líquido ultrapuro con lactato. Desde la perspectiva del paciente, esta característica permite un manejo y aprendizaje relativamente sencillo, además de la posibilidad de poder viajar con él; sin embargo, desde la perspectiva médica, estas características son las que hacen que muchos profesionales duden de la capacidad de este monitor para alcanzar una dosis de diálisis adecuada y cumplir con los objetivos de diálisis recomendados por las guías actuales15,16. Esperamos que esta publicación sea de interés para aportar evidencia acerca de las ventajas de la HDD corta diaria con hemodiálisis de bajo flujo.
Al analizar nuestra cohorte, observamos que la edad media de los pacientes fue de 53 años, aproximadamente una década inferior a la edad media de los pacientes prevalentes en muchos países europeos32, aunque similar a la de los pacientes en HDD tratados en Estados Unidos33. Esta relativa juventud de los pacientes, junto con la baja prevalencia de la diabetes como etiología primaria de la ERC, podría llevarnos a pensar que la HDD es sólo apta para pacientes jóvenes y sanos. A este respecto, conviene recalcar que el rango de edad fue de los 18 a los 84 años, la mayoría de los pacientes provenían de HD centro o tras fracaso del injerto, con una mediana de permanencia en TRS de casi 4 años y con un índice de Charlson medio de 4,2. Adicionalmente, el IMC varió entre 17,3 (bajo peso) y 44,8kg/m2 (obesidad extrema). Todos estos datos apuntan a que la HDD puede ser una modalidad de TRS adecuada para una amplia variedad de pacientes, incluido aquellos con mayor comorbilidad, los cuales son precisamente los pacientes que más se pueden beneficiar de esquemas de hemodiálisis más frecuentes11.
Observamos que la mayoría de nuestros pacientes en HDD se encontraban con una prescripción frecuente de 5-6 días por semana, con una duración de entre 2,5 y 3 horas por sesión, y con un volumen de líquido de diálisis de 30 L por sesión, representando un flujo de baño de 150 a 200mL/min, frente a los 500-700mL/min habituales de los monitores convencionales. En conjunto, los pacientes acumularon una media de más de 14 horas de diálisis a la semana, mientras que la gran mayoría de los pacientes en HD en centro en España y otros países europeos no acumulaban más de 12 horas semanales34. Este régimen intensivo de diálisis permitió alcanzar una dosis de diálisis estimada mediante Kt/Vstd en torno a 2,8, muy por encima de los 2,1 establecidos como objetivo mínimo por las guías KDOQI15, y similares a los obtenidos en otros registros europeos35, demostrando que una diálisis de bajo flujo puede lograr una alta saturación del baño de diálisis y un aclaramiento adecuado de pequeñas moléculas11,35. En este punto cabe señalar que no se recogieron resultados sobre función renal residual (salvo el volumen de diuresis) lo que podría mejorar todavía más estos resultados. Es importante recordar que una diálisis adecuada es un concepto más amplio que el de la simple dosis de diálisis medida por Kt/V11, siendo definida como aquel TRS que satisface los requisitos de ser eficaz y suficiente, consigue una buena tolerancia, mejora la calidad de vida y prolonga la supervivencia de los pacientes, englobando además diversos aspectos como el adecuado control de la anemia, el metabolismo óseo-mineral, el estado nutricional, la presión arterial y el equilibrio electrolítico y ácido-base36. La mayoría de los parámetros bioquímicos mejoraron, aunque de manera discreta pero significativa, durante el primer año de tratamiento. Las cifras de hemoglobina se mantuvieron estables con menor necesidad de dosis de estimulantes de eritropoyetina a lo largo del seguimiento. Los pacientes mantuvieron un adecuado control del metabolismo óseo mineral, con una disminución discreta pero significativa de los niveles de calcio a pesar de disponer de sólo una opción de concentración de calcio en el baño. Más interesante fue la disminución significativa de los niveles de fósforo y del uso de captores de fósforo a lo largo del seguimiento, demostrando que existe una buena correlación entre el aumento de frecuencia y tiempo semanal, con respecto al control del fósforo sérico. Con respecto a los parámetros relacionados con la nutrición, conviene recalcar la elevación de las cifras de albúmina y peso seco durante el tiempo de seguimiento, dato que refuerza la idea de que al prescribir de forma más frecuente, las restricciones en la dieta son menores, el apetito aumenta y podemos ver cómo los parámetros nutricionales mejoran a lo largo el seguimiento37, tal y como se ha demostrado en otros regímenes de HD alternativos a la HD estándar en centro, de 4 horas, 3 días por semana38,39.
Al analizar los cambios en la prescripción de la técnica a lo largo del seguimiento en cuanto a la frecuencia de diálisis, observamos un aumento (aunque no significativo) en la proporción de pacientes con 6 sesiones semanales, con una disminución paralela de la duración de las sesiones, así como de la cantidad de volumen de dializado utilizado por sesión. Los autores especulamos que esta tendencia es fruto de la experiencia acumulada durante el primer año tanto por parte del paciente como por el nefrólogo prescriptor acerca de los beneficios de una diálisis más frecuente y corta. Mientras que el paciente puede percibir una mejor tolerancia a la diálisis con un menor síndrome de fatiga postdiálisis, así como un menor número de restricciones dietéticas, el clínico puede objetivar una mejoría de diversos parámetros relevantes como son el control de la sobrecarga hídrica, la presión arterial o los parámetros nutricionales y del metabolismo óseo mineral, mejoras que han sido previamente descritas con esquemas de diálisis más frecuentes1–4,9,12.
En cuanto a la preparación del líquido de diálisis utilizado, el sistema PureFlow® fue el método más usado, tal y como ha sido previamente descrito12, si bien observamos una tendencia ascendente en el porcentaje de pacientes que utilizó bolsas premezcladas. Diversos factores relacionados con el paciente pueden explicar este aumento, incluyendo la sencillez de su uso (el nefrólogo determina la cantidad de bolsas que necesita el paciente y el paciente simplemente cuelga y conecta las bolsas para el tratamiento) y la flexibilidad para viajar (las bolsas de dializado premezcladas son portátiles junto con el monitor)17, aspectos determinantes para que los pacientes opten por esta modalidad de diálisis40.
Al inicio de este estudio, la mayoría de los nefrólogos teníamos algunas inquietudes en cuanto a la composición del líquido con este sistema por el hecho de utilizar bolsas de líquido pre-mezclado con una composición de electrolitos y ácido base muy diferente a la composición habitual con tratamientos de HDD tradicional, particularmente con una composición de potasio más bajo de lo habitual y sobre todo por la utilización de lactato en lugar de bicarbonato. Pudimos comprobar cómo a lo largo del seguimiento tanto las cifras de potasio como de bicarbonato se mantuvieron dentro de parámetros normales durante el tiempo de seguimiento. Conviene recalcar que este sistema utiliza flujos bajos de líquido de diálisis, por lo que los gradientes electrolíticos no son tan marcados, en comparación con monitores convencionales.
Como era de esperar, al realizar una prescripción frecuente, las tasas de ultrafiltración se mantuvieron bajas, con una media de alrededor de 5mL/kg/h durante todo el estudio, y muy por debajo del umbral de 10mL/kg/h. Los autores especulamos que esta baja tasa de ultrafiltración repercute indudablemente en la seguridad y buena tolerancia hemodinámica de estos pacientes, con beneficios importantes en cuanto a seguridad cardiovascular y calidad de vida, tanto a corto como a largo plazo, dado que múltiples estudios han correlacionado una baja tasa de ultrafiltración, no sólo con una mejor supervivencia, sino también con un menor tiempo de recuperación postdiálisis41-43.
En íntima relación con un bajo volumen de ultrafiltración, también observamos una reducción significativa del número de fármacos hipotensores utilizados a lo largo del seguimiento, ya descrita previamente con el uso de HDD corta diaria y otros regímenes de HD intensivos3,12,44,45. Aunque no recogimos los cambios longitudinales en la presión arterial debido a la variabilidad de estos valores según el momento de la medición, la disminución significativa en el uso de antihipertensivos fue, sin duda, otro beneficio añadido que observamos en nuestro estudio, como era de esperar al prescribir con esquema de diálisis frecuente12. Otro dato relacionado en parte al aumento de frecuencia y tasa de ultrafiltración es la diuresis residual. Como se comentó en los resultados y como era de esperar, el volumen medio de diuresis disminuyó a lo largo del seguimiento; sin embargo, es interesante mencionar que más de la mitad de los pacientes (n=60) mantuvieron un volumen medio de 600mL al final del estudio. Al ser un estudio retrospectivo, contamos con la limitación de no disponer de otros resultados analíticos relacionados a este aspecto, lo cual deja un área interesante de análisis para futuros trabajos de cara a valorar de forma más clara la influencia de la diálisis diaria y su efecto en relación a la preservación de la función renal residual.
En cuanto al tiempo de entrenamiento, confirmamos que con este sistema, los pacientes requirieron una media de 25 sesiones, en comparación con el entrenamiento de HDD con monitores convencionales, los cuales precisan a cerca de 30 sesiones por paciente46. Es importante comentar que más de la mitad de los pacientes eran portadores de catéter como acceso vascular, hecho que puede influir en la duración del entrenamiento, ya que el aprendizaje mediante la canulación de una fistula arteriovenosa en algunos casos puede ser más difícil. El tiempo de entrenamientos según acceso vascular, así como problemas relacionados con el mismo, son datos que no se han analizado en este estudio, datos que sin duda son de interés para el análisis en futuras investigaciones.
Al analizar la supervivencia de la técnica, observamos muy buenos resultados, con una tasa de salida a HD en centro relativamente baja e inferior a la descrita previamente con esta técnica12, siendo el trasplante la principal causa de salida de nuestros pacientes. Por el contrario, la tasa bruta de mortalidad fue relativamente baja (5,9 por 100 pacientes/año), un 33% menor que la de media de la población española en HD con una edad comprendida entre 45 y 64 años (8,9 por 100 pacientes/año)23. Si bien esta alta tasa de trasplante, así como la baja mortalidad, pueden deberse en parte a la relativa juventud de nuestra cohorte de pacientes, similar a los hallazgos encontrados en otras publicaciones de HDD47, estos resultados tan positivos requieren más estudios con un mayor tamaño muestral y mayor tiempo de seguimiento.
Frente a los múltiples beneficios que la HDD proporciona a nuestros pacientes, también es importante tener en cuenta los potenciales inconvenientes de la técnica, como pueden ser los problemas psicosociales, incluyendo la carga del cuidador en aquellos pacientes que no son independientes a la hora de realizar este tipo de tratamiento y que puede llevar al fracaso de la técnica48. A este respecto, destacamos la baja tasa de finalización de la técnica por cansancio del cuidador (n=2; 2,3%) observada en nuestro estudio. Especulamos que esta tasa tan baja podría explicarse por la sencillez de la técnica de diálisis y los beneficios subjetivos derivados de ella, que podrían hacer más llevadero este tratamiento crónico tanto para el paciente como para su cuidador. Por el contrario, la dificultad en la punción de la FAV no parece ser un elemento determinante en la aparición del cansancio del cuidador, dado que en los dos casos descritos era el catéter el acceso vascular (datos no mostrados).
En resumen, después de 12 meses de seguimiento y tras analizar múltiples parámetros no sólo analíticos, sino en cuanto a prescripción, hemos podido confirmar cómo este sistema, a pesar de ser un sistema que funciona con flujo bajo de líquido de diálisis, es capaz de proporcionar a una dosis de diálisis adecuada, siendo un monitor más sencillo que los convencionales, facilitando la aceptación por parte de los pacientes y haciendo que cada día más pacientes se puedan beneficiar de esta modalidad de tratamiento. Es necesario enfatizar que este sistema está diseñado para realizar diálisis frecuentes, por lo que los resultados beneficiosos descritos en este estudio y los previamente publicados12 sólo se alcanzarán al prescribir con pautas de diálisis frecuente (≥ 4 días por semana).
Una limitación importante de este estudio, que merece la pena enfatizar, es su naturaleza observacional sin grupo control, además del relativo pequeño tamaño muestral y el breve intervalo de seguimiento. Dichas limitaciones pudieran llevar a un sesgo de selección positiva de los pacientes, por lo que los análisis de supervivencia deben ser tomados con cautela. Si bien es el estudio con mayor número de pacientes en HDD corta diaria realizado en España, a su vez aporta datos bioquímicos longitudinales de pacientes tratados por primera vez con hemodiálisis de bajo flujo. Es importante aclarar que nuestros resultados requieren ser confirmados en estudios prospectivos con mayor tamaño muestral y un seguimiento más prolongado.
La HDD con este sistema de bajo flujo de líquido de diálisis es una opción más de las que se encuentran disponibles en la actualidad en España, sabiendo que existen otras opciones diferentes de HD en domicilio en cuanto a monitores, filtros y tipos de prescripción que aportan también múltiples beneficios49,50, por lo que no podemos olvidar que lo importante es elegir dentro de las opciones que tenemos disponibles la que mejor se adapte a las necesidades y circunstancias de nuestros pacientes.
ConclusionesLa HDD es una modalidad de HD única, en la medida en que ofrece la oportunidad de individualizar e intensificar el tratamiento dialítico según las necesidades y circunstancias de cada paciente, más allá de lo que normalmente es factible en el entorno de HD en un centro. Tras los resultados obtenidos, podemos confirmar que a pesar de ser un sistema que funciona con bajo flujo de líquido de diálisis, ha permitido obtener buenos resultados analíticos, manteniendo los parámetros de calidad dialítica dentro los rangos establecidos por las guías vigentes, con reducción en medicación, reducción en tiempo de entrenamiento y una adecuada supervivencia de la técnica a lo largo del tiempo de seguimiento. Se necesitan, no obstante, más estudios que confirmen estos buenos resultados.
Conflictos de interésMaria Fernanda Slon Roblero: ha recibido honorarios por conferencias y consultorías de NxStage.
Maria Auxiliadora Bajo Rubio: ha recibido honorarios por conferencias y consultorías de NxStage.
Mercedes González-Moya: sin conflicto de interés.
Jesús Calviño Varela: en los últimos años ha recibido honorarios por conferencias, consultorías y asistencia a cursos y congresos de Palex, Vifor, Otsuka, Baxter, Astra Zeneca, Alexion, Esteve y Chiesi.
Alejandro Pérez Alba: honorarios por ponencias sobre hemodiálisis domiciliaria por parte de Baxter.
Juan Villaro Gumpert: sin conflicto de interés.
Secundino Cigarrán del Hospital da Costa: sin conflicto de interés.
Pedro Vidau: sin conflictos de interés.
Sergio Garcia Marcos: sin conflictos de interés.
Pedro Abáigar Luquin: sin conflicto de interés.
Elisabet Coll Piera: sin conflicto de interés.
Antonio Gascón Mariño: sin conflicto de interés.
Maria José Espigares: sin conflicto de interés.
Mariola D. Molina: sin conflicto de interés.
Pablo Molina: honorarios por conferencias de Abbott, Amgen, Fresenius-Kabi, Nutricia, Palex, Sanofi y Vifor/Fresenius-Renal Pharma; consultorías de Fresenius-Kabi, Palex y Vifor/Fresenius-Renal Pharma, así como becas de viaje de Amgen y Fresenius Medical Care.
Los autores quieren dedicar el estudio a todos nuestros pacientes en programa de HDD, verdaderos pioneros de esta técnica en España, y que tanto nos enseñan cada día. Asimismo queremos dar las gracias al personal de enfermería de todas nuestras Unidades de Diálisis Domiciliaria por su excelente trabajo asistencial y educacional. Y por último, los autores también agradecen a D. Manuel Fraile y D. David Ojeda, enfermeros especialistas en HDD, por transmitirnos su experiencia y entusiasmo por este tipo de técnica.













