La prueba de equilibrio peritoneal (PEP) permite analizar las características y los mecanismos de transporte de agua, electrolitos y otros solutos a través de la membrana peritoneal. Desde su descripción inicial por Twardowsky1 se ha acumulado una gran experiencia con esta prueba, y se han establecido las medias y rangos de transporte peritoneal de solutos para distintas poblaciones (figura 1). El objetivo práctico principal de la PEP es disponer de una herramienta que simplifique las estimaciones del funcionalismo peritoneal y ayude a realizar una correcta prescripción de la diálisis peritoneal (DP). Por otro lado, un elemento esencial para dar validez a la PEP es una correcta estandarización. Desde la descripción inicial del procedimiento2 hasta el momento actual, se han ido introduciendo modificaciones en las condiciones de la prueba, con el fin de obtener información más fiable y completa del funcionalismo de la membrana. Estas modificaciones han afectado sobre todo a la concentración de glucosa en el líquido de diálisis utilizado para su realización3-6, pero también a otros factores, incluyendo la propia duración de la prueba7. Además, el desarrollo de la PEP ha alentado otras estrategias de estudio. Por ejemplo, grupos de investigación del norte de Europa han desarrollado una prueba alternativa, de 24 horas de duración, con varios intercambios en los que modifican tanto la concentración de glucosa en los líquidos como la duración de las permanencias (peritoneal dialysis capacity, test PDC)8.
La simplicidad de la PEP permite su utilización para una valoración secuencial del funcionalismo peritoneal, ya que se puede repetir periódicamente, y siempre que las circunstancias clínicas lo demanden. La PEP basal, realizada en las primeras semanas de tratamiento con DP, permite detectar anomalías funcionales intrínsecas de la membrana peritoneal y sirve como punto de referencia para detectar cambios sobrevenidos durante el curso del tratamiento con DP9.
La PEP, como cualquier otra prueba diagnóstica, presenta limitaciones en su validez y precisión, que deben ser conocidas y tenidas en cuenta a la hora de interpretar sus resultados. Dentro de una estructura de controversia, me compete resaltar las limitaciones y los elementos negativos de la PEP como método de estudio del funcionalismo peritoneal. Mi planteamiento no puede ser, en ningún caso, contrario a la validez general de la PEP, pero sí presentaré argumentos en contra de su «sacralización», mostrando sus principales limitaciones e inconvenientes. También argumentaré sobre la viabilidad de prescribir la DP basándose en la valoración de datos clínicos rutinarios que no incluyan a la propia PEP. En conjunto, dividiré mi argumentación en cuatro cuestiones:
1. MANTENER COMO REFERENCIA LA PRUEBA DE EQUILIBRIO PERITONEAL CLÁSICA CON GLUCOSA AL 2,27/2,5 %
A partir de la descripción de la PEP clásica por Twardowsky, se establecieron cuatro categorías de transporte peritoneal, basadas en la saturación de creatinina y la absorción de glucosa (alto, medio alto, medio bajo, bajo)1. Estos términos se han redefinido en los últimos años hacia una categorización más simple, en transporte rápido, medio o lento, aunque la terminología clásica aún goza de amplia aceptación. Glucosa y creatinina presentan un tamaño molecular similar y muestran un comportamiento parecido, aunque inverso, y no idéntico, respecto a la membrana peritoneal. Esta circunstancia se sumó a la asunción, no apoyada por la evidencia, de que la absorción de glucosa mostraría una correlación inversa estrecha con la ultrafiltración (UF) obtenida. La consecuencia fue el error, común durante años, de asumir que el transporte de creatinina era a su vez un marcador inverso fiable de la capacidad de UF. Ni el conocimiento actual de la fisiología de la membrana ni la gran evidencia acumulada sustentan en absoluto tal afirmación. La capacidad de UF muestra correlación estadísticamente significativa con el transporte de solutos pequeños, pero el grado de asociación es totalmente insuficiente como para permitirnos extrapolar una variable de la otra9. Si se quiere conocer la capacidad de UF, esta debe estimarse de manera específica y estandarizable. Esta es la base de la modificación propuesta para la PEP clásica (basada en glucosa al 2,27/2,5 %) hace ya más de una década, recomendándose de manera cada vez más enfática la utilización de solución de glucosa al 3,86/4,25 % para la PEP. Esta solución proporciona resultados superponibles al 2,27/2,5 % en cuanto a transporte de solutos pequeños3-6 y, al permitir mayor UF, proporciona estimaciones más reproducibles de esta variable. La Sociedad Internacional de Diálisis Peritoneal (ISPD) ha adoptado una UF inferior a 400 ml durante la PEP al 3,86/4,25 % como indicador de fallo de UF peritoneal10.
El transporte de agua a través de la membrana peritoneal discurre por dos rutas principales, que pueden ser estudiadas separadamente con ayuda de la PEP. Esto es posible porque, durante los primeros 60-120 minutos del intercambio, el transporte de agua se produce, más o menos al 50 %, por los poros pequeños (acompañada de electrolitos y otros solutos) y por los canales de agua intracelulares (aquaporinas) (una vía exclusiva para el agua). Conocer el estado funcional de ambas vías proporciona información con importantes implicaciones clínicas, sobre todo en pacientes con problemas de UF. La forma clásica de abordar este fenómeno es el análisis del cribado de sodio, es decir, el descenso en la concentración de sodio que se produce en el dializado al final de la primera hora de la PEP, a partir del cual podemos extrapolar la fracción de agua que se ha transportado en este período libre de electrolitos y, por tanto, a través de las aquaporinas. Aunque este fenómeno se puede analizar con la PEP clásica al 2,27/2,3 %11, la PEP al 3,86/4,25 % proporciona datos más discriminativos sobre él.
En los últimos años, se han diseñado variantes de la PEP orientadas a refinar el análisis del transporte peritoneal de agua. Así, La Milia ha propuesto la llamada mini-PEP, con glucosa al 3,86/4,25 % y de una hora de duración12. Con esta prueba se pueden estimar, de manera más precisa, el cribado de sodio, el transporte de agua libre y el transporte de agua a través de los poros pequeños. Sin embargo, la comparación de los índices de saturación de moléculas pequeñas con los que se obtienen en la PEP con cuatro horas de permanencia muestra una pobre correlación, por lo que la realización de la mini-PEP no exime de la necesidad de realizar la PEP clásica de 4 horas. La realización de una PEP modificada, con drenaje total a la hora y reinfusión para completar las 4 horas de permanencia, permite unificar ambas pruebas13.
La capacidad de la membrana peritoneal para generar UF en respuesta a diferentes concentraciones de glucosa (conductancia osmótica) se puede explorar mediante la técnica de doble mini-PEP, que implica la realización de dos mini-PEP (1 hora), el primero al 1,36/1,5 % y el segundo al 3,86/4,25 %14. Cuando esta prueba se combina con reinfusión posterior del dializado para completar 4 horas de permanencia, hablamos de UNI-PEP. Esta última prueba aumenta la duración respecto a la clásica en 2 horas, por lo que probablemente es menos aplicable en la rutina clínica habitual7.
Durante la permanencia de un intercambio peritoneal se produce reabsorción de dializado a través de los linfáticos peritoneales a una tasa relativamente constante, que ninguna de las variantes de PEP citadas hasta ahora permite calcular. La adición de un marcador de volumen (por ejemplo, Dextrano 70) al dializado usado en una PEP permite calcular este parámetro15, pero esta variante no es de aplicación en la rutina clínica.
El cálculo del apex-time (punto en el que se cruzan las curas de saturación de creatinina y de absorción de glucosa en un PEP al 3,86/4,25 %) puede resultar útil para calcular la permanencia intraperitoneal óptima del líquido de diálisis en DP automática (DPA)16.
La prueba PDC permite estimar el área de la membrana, el flujo por los poros grandes y la reabsorción de dializado mediante una prueba de 24 horas de duración con múltiples determinaciones analíticas. Esta complejidad y la necesidad de un programa informático específico hacen que se utilice de manera más minoritaria que la PEP en la práctica clínica habitual.
En conjunto, el desarrollo de múltiples variantes de la PEP clásica constata que la información obtenida con esta última puede ser insuficiente para el conocimiento de las características del transporte peritoneal en el ámbito clínico. La caracterización correcta de las causas del fallo de UF y la posibilidad de un diagnóstico precoz (incluso preventivo) de la peritonitis esclerosante son objetivos subyacentes a estas iniciativas. ¿Cuál de estas pruebas es mejor para la rutina clínica? Como prueba «todoterreno», quizás la PEP al 3,86/4,25 % de 4 horas de duración con drenaje total y reinfusión a los 60 minutos sea la que aporte información más completa sobre el transporte peritoneal de agua y solutos sin añadir complejidad, una cuestión esencial en el día a día de nuestra práctica clínica. La doble mini-PEP proporciona información adicional de indudable utilidad en los casos en los que exista un déficit de UF.
2. LIMITACIONES A LA PRECISIÓN DE LA PRUEBA DE EQUILIBRIO PERITONEAL
La precisión de la PEP como estimador del transporte peritoneal está limitada por tres tipos de factores, relacionados con el correcto funcionamiento del catéter peritoneal, la situación clínica del enfermo y las posibles imprecisiones en el procesamiento de las muestras. En la práctica, el problema más importante es la necesidad de que la mecánica de drenaje peritoneal sea óptima y lo ha de ser, al menos, en dos intercambios sucesivos: el previo a la prueba y el propio del PEP. La presencia de un volumen residual significativo al inicio de la prueba incrementa las estimaciones de transporte peritoneal de solutos y, si el drenaje durante la PEP es completo, da lugar a una sobrestimación de la capacidad de UF. Por otro lado, si el drenaje durante la PEP es incompleto, se subestimará la capacidad de UF.
El estado clínico del paciente puede influir potencialmente en los resultados de la PEP, aunque no está clara la trascendencia clínica de esta interferencia. En términos prácticos, los estados de hiper o hipovolemia y, sobre todo, la hiperglucemia, son los que más pueden comprometer las estimaciones de transporte de solutos y UF.
El procesamiento de las muestras es otra fuente importante de errores estimativos en la PEP. Aunque la prueba está estandarizada con mucho detalle, el riesgo de errores en la práctica diaria es alto. Por ejemplo, si la mezcla del dializado en el momento de extraer la muestra es incompleta, se pueden alterar significativamente los resultados analíticos. Por otra parte, un retraso en el procesamiento de las muestras puede disminuir las concentraciones de urea y de creatinina. Aunque la mayoría de los laboratorios hacen una corrección de manera automática de las cifras de creatinina con la concentración de glucosa en el líquido, se trata de fórmulas estimativas, y en caso de no aplicarlas se produce un aumento medio de 0,5 mg/dl en el nivel de creatinina por cada 1000 mg/dl de glucosa.
A menudo se pasa por alto la necesidad de adaptar el volumen de dializado usado en la PEP al tamaño corporal del paciente17. Ignorar este factor da lugar a una subestimación del transporte de moléculas pequeñas en sujetos grandes y a sobrestimación en sujetos pequeños. El grupo de trabajo europeo sobre buenas prácticas en DP18 recomienda infundir el mismo volumen que utilice habitualmente el paciente, lo que además se ajusta mejor a lo que realmente acontece en el día a día de su tratamiento.
Existen, finalmente, algunos inconvenientes menores a la realización de la PEP, que hay que tener en cuenta:
- Sobrecarga de glucosa, con absorción promedio del 38 % de la glucosa infundida. Esto supone, como media, 17 gramos en la PEP clásica y 29 gramos en la modificada con glucosa al 3,86/4,25 %. Este factor tiene mayor importancia potencial en diabéticos, que pueden presentar hiperglucemia durante la prueba.
- Riesgo potencial de inestabilidad hemodinámica en pacientes con tasas altas de UF durante la PEP al 3,86/4,25 %. No es frecuente, pero tampoco excepcional, que algún paciente precise reposición intravenosa de volumen.
- La PEP implica manipulación intrahospitalaria del sistema de DP con un riesgo bajo, pero no despreciable, de desconexión y peritonitis.
- El coste económico de la PEP clásica es bajo, pero implica un tiempo de dedicación tanto de enfermería como del nefrólogo encargado, así como los costes de la realización de análisis de una muestra de sangre y cinco de líquidos.
3. ¿SE PUEDE PRESCRIBIR DIÁLISIS PERITONEAL SIN AYUDA DE LA PRUEBA DE EQUILIBRIO PERITONEAL?
La respuesta a esta pregunta es inequívoca: por supuesto que sí. Es verdad que la prescripción habitual de DP se basa en el tamaño corporal (relación directa), la función renal residual (relación inversa) y las características de transporte peritoneal. De estos tres factores, el tercero es el que tiene influencia menos directa en las decisiones prácticas. De hecho, en la prescripción inicial no se toma en consideración, ya que en ese momento se desconoce. Muchos nefrólogos consideran que el conocimiento del tipo de transporte peritoneal no es imprescindible para prescribir DP, ya que prefieren el método de prueba y error (prescribir empíricamente y luego ajustar según resultados de adecuación). Además, el efecto del tipo de transporte es menor en la mayoría de los casos, ya que aproximadamente el 80 % de los pacientes presentan una permeabilidad media (figura 1).
La Sociedad Europea de Diálisis y Trasplante (ERA-EDTA) publicó en el año 2010 sus recomendaciones para realizar la prescripción inicial en DP18. En ellas se abogaba por la conveniencia de estimar la capacidad de UF de cada paciente a partir de los intercambios realizados durante la fase de entrenamiento. Si el paciente ofrece una alta capacidad de UF con dializado de baja concentración de glucosa en intercambios de más de 4 horas de duración, será, seguramente, un transportador lento, y se beneficiará de volúmenes altos y permanencias largas. Por el contrario, si presenta escasa capacidad de UF (negativa con glucosa al 1,36/1,5 % en permanencias de 3 horas o menos), probablemente estemos ante un transportador rápido, al que debemos programar intercambios de corta duración (DPA), con mayor concentración de glucosa y utilizar icodextrina para el intercambio de permanencia larga.
En el paciente prevalente no complicado, la monitorización rutinaria no precisa tanto de la realización de PEP como de valoración clínica y controles de adecuación. Los problemas clínicos habituales se suelen abordar, de salida, de esta manera. Por ejemplo, si el paciente presenta rasgos de infradiálisis o deterioro metabólico, lo primero es estimar la función renal residual y el aclaramiento peritoneal. Si aparecen signos de sobrehidratación, hay que considerar en primer lugar factores no relacionados con la membrana, como el grado de cumplimiento dietético, una caída rápida de la diuresis residual o un mal funcionamiento del catéter peritoneal. El paciente que muestra una capacidad de UF insuficiente es el principal beneficiario potencial de la PEP, que va a ayudar a categorizar correctamente la naturaleza del problema. Sin embargo, la interpretación de los resultados en estos pacientes es a menudo confusa, porque las limitaciones de la PEP son más patentes sobre una estimación única. A menudo se acaba recurriendo nuevamente al método de prueba y error (modificar el volumen, permanencia y concentración de los cambios, probar icodextrina). Las guías prácticas de la Sociedad Canadiense de Nefrología para DP no recomiendan la práctica rutinaria de la PEP para prescripción de DP19,20.
4. UTILIDAD DE LA PRUEBA DE EQUILIBRIO PERITONEAL PARA MONITORIZAR LA EVOLUCIÓN DEL FUNCIONALISMO PERITONEAL
La existencia de una respuesta anatómica y funcional de la membrana peritoneal al contacto sostenido con líquidos de diálisis no fisiológicos es conocida desde hace años21,22. Estudios más recientes han desvelado los mecanismos mediante los cuales la exposición a estas soluciones altera la membrana, que incluyen la pérdida de la integridad del mesotelio y el desarrollo de fenómenos de transición epitelio-mesenquimal a nivel intersticial, con fibrosis extensa y, en algunos casos, neoangiogénesis. Asimismo, se produce una lesión vascular característica. Estos cambios estructurales muestran una correlación funcional, cuya expresión más habitual es un aumento del transporte peritoneal de pequeños solutos y una pérdida progresiva de la capacidad de UF. Sin embargo, esta correlación anatomofuncional dista de ser inequívoca, ya que los cambios estructurales son casi universales, mientras que la mayoría de los pacientes mantienen un estatus funcional relativamente estable. Las causas de esta discordancia no están totalmente claras, pero uno de los factores a tener en cuenta es la imprecisión de los métodos usados para detectar alteraciones en el funcionalismo peritoneal en la práctica clínica incluyendo, de manera prominente, la PEP.
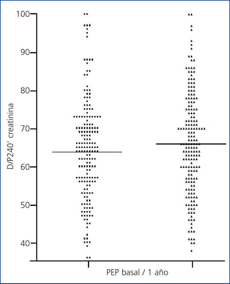
La PEP es el método actualmente aceptado para detectar variaciones en el funcionalismo peritoneal a lo largo del tratamiento con DP. Esta monitorización se lleva a cabo de manera periódica y sistemática en algunos centros, mientras que en otros solo se activa en presencia de signos de alarma (por ejemplo, declive en la capacidad de UF). Sin embargo, la imprecisión inherente a la PEP lastra su reproducibilidad, y limita la interpretación comparada de estudios realizados a lo largo del tiempo. Hace casi dos décadas, Davies et al.23 ya demostraron una variabilidad significativa de las estimaciones del transporte peritoneal de solutos pequeños mediante la PEP, comparando la prueba basal con un control realizado a los 6 meses. En un 23 % de los casos se observaban discordancias superiores al 20 % en la saturación de creatinina sin causa aparente. En este contexto, resulta poco útil intentar clasificar a los pacientes en subgrupos muy delimitados de transporte peritoneal, lo que ayuda a entender la tendencia actual a individualizar solo a los pacientes con valores extremos, dejando una amplia franja de transporte medio como zona de normalidad. En un estudio comparativo de los resultados de la PEP con glucosa al 2,27/2,5 % y al 3,86/4,25 %, nuestro grupo no detectó diferencias globales significativas, pero, llamativamente, el 47,7 % de los pacientes cambiaban de categoría de transporte entre pruebas realizadas en un lapso muy corto de tiempo12. La variabilidad era mucho menor si se agrupaban todos los pacientes con transporte medio. Nuestro grupo también ha comparado los resultados de la PEP basal (segundo mes) con los obtenidos al final del primer año en una población amplia de pacientes en DP, sin encontrar variaciones aparentes como media (figura 2). Sin embargo, el análisis por subgrupos mostró que los pacientes con permeabilidades extremas tendían a confluir hacia la media (figura 3), un comportamiento que podría sugerir la existencia de un sesgo inespecífico por imprecisión en las estimaciones, más que un patrón de respuesta de la membrana peritoneal. Otros estudios han mostrado resultados similares, con una evolución durante el primer año hacia la media en transportadores rápidos, con disminución en la permeabilidad de pequeñas moléculas e incremento de la capacidad de UF24. Por último, diferentes estudios, alguno de ellos procedente de nuestro país, han mostrado que las características basales de transporte peritoneal no son capaces de predecir el comportamiento tardío de la membrana peritoneal25.
PUNTOS FINALES
- La principal contribución clínica de las pruebas de función peritoneal es la información que proporcionan sobre la capacidad de UF y, si esta falla, sobre los posibles mecanismos. Para ello, la PEP con dializado al 3,86/4,25 %, con variantes para analizar el transporte de agua libre, ofrece ventajas obvias sobre la prueba clásica al 2,27/2,5 %.
- Los resultados de la PEP también ayudan a una correcta prescripción de DP, y son indispensables si se utilizan programas de prescripción, pero es evidente que se puede prescribir correctamente DP sin necesidad de una PEP, valiéndose simplemente de una correcta valoración clínica y de los resultados de adecuación.
- No se debe olvidar que una PEP aislada proporciona estimaciones de fiabilidad relativa del transporte peritoneal de agua y solutos, sobre todo por depender de una mecánica óptima de drenaje en dos intercambios consecutivos.
- Por la misma razón, los resultados de PEP consecutivas se deben comparar dentro de un esquema de valoración clínica global.
Conflictos de interés
Los autores declaran que no tienen conflictos de interés potenciales relacionados con los contenidos de este artículo.
Figura 1. Ejemplos de distribución de las categorías de transporte peritoneal en poblaciones en diálisis peritoneal en Europa (Hospital Universitario de A Coruña), América (Canadá) y Asia (Corea del Sur)
Figura 2. Comparación de los valores observados en el transporte peritoneal de creatinina en pruebas de equilibrio peritoneal realizadas al inicio de diálisis peritoneal y al final del primer año de tratamiento (diferencia no significativa)
Figura 3. Valores medios de transporte peritoneal de creatinina basalmente y al final del primer año de tratamiento, estratificados según categoría basal







