Los resultados percibidos por el paciente (PROM) son herramientas clave para avanzar hacia una práctica clínica centrada en el paciente, con beneficios demostrados para su estado de salud. Aunque su implementación se ha extendido en diversas enfermedades crónicas, existen pocas experiencias en personas candidatas a trasplante renal (TR), una población cada vez más envejecida y frágil. El objetivo de este estudio fue evaluar la relación entre fragilidad y calidad de vida autorreportada relacionada con la salud en personas con enfermedad renal crónica avanzada (ERCA) candidatas a TR.
Material y métodosSe incluyeron candidatos a TR evaluados en la consulta de acceso al TR. Se administraron los cuestionarios PROMIS-29® y PROMIS-Global Health® y se calculó el T-score para cada dominio. La fragilidad se evaluó mediante la escala de Fried, agrupando como frágiles/prefrágiles (FRIED>0). También se recogieron variables sociodemográficas y clínicas.
ResultadosDe un total de 139 pacientes incluidos, el 32% eran mujeres y la edad media fue de 63,5 años, el 43,9% estaba en diálisis y el 64,5% tenía algún grado de fragilidad. El 71,2% contestó los cuestionarios administrados. De forma global, los candidatos a TR tuvieron una percepción de su estado mental como buena (48±7,4) y estado físico como regular (42,8±7,3). Las puntuaciones de ansiedad, fatiga, habilidades sociales, alteración del sueño, dolor y depresión estaban dentro del rango normal comparado con la población general. Cuando comparamos a los pacientes frágiles con los robustos, solo el dominio físico de PROMIS-Global-Health® y la función física de PROMIS-29® fueron peores en el grupo de pacientes con algún grado de fragilidad. No se encontraron diferencias en el resto de los dominios.
ConclusionesLos candidatos a TR frágiles presentan una peor percepción de su función física medida con herramientas PROM. La implementación sistemática de PROM podría facilitar estrategias dirigidas a mejorar los resultados en salud, optimizando el seguimiento en la lista de espera y el acceso al trasplante.
Patient-reported outcomes (PROMs) are key tools for advancing patient-centered clinical practice, with proven benefits for health outcomes. Their application has been extended to different chronic diseases, but there are few studies involving patients with chronic kidney disease (CKD), a population that is aging and frail. The aim of this study was to assess the relationship between frailty and self-reported health-related quality of life in patients with advanced CKD who are eligible for kidney transplantation (KT).
Material and methodsKT candidates who were evaluated in the outpatient clinic were included in the study. The PROMIS-29® and PROMIS-Global Health® questionnaires were administered, and T-scores were calculated for each domain. Frailty was assessed using the Fried scale, categorizing participants as frail/pre-frail if FRIED>0. Sociodemographic and clinical variables were also collected.
Results139 KT candidates were included in the study: 32% were women, the mean age was 63.5 years, 43.9% were on dialysis, and 64.5% were frail. 71.2% responded to the administered PROMIS. Overall, KT candidates reported their mental health as good (48±7.4) and their physical health as fair (42.8±7.3). T-scores for anxiety, fatigue, social functioning, sleep disturbance, pain, and depression were within the normal range compared to the general population. When comparing frail with robust patients, only the physical domain of PROMIS-Global Health® and physical function of PROMIS-29® were worse in the frail group. No differences were found in the other domains.
ConclusionsFrail kidney transplant candidates report worse physical function when assessed using PROMs tools. The systematic implementation of PROMs might help to implement strategies to optimize access to the waiting list, improve postKT outcomes, and enhance overall patient care.
La enfermedad renal crónica (ERC) representa un importante problema de salud pública mundial1. En España el número de personas en terapia renal sustitutiva ha experimentado un incremento del 20% en la última década, alcanzando una prevalencia de 1.406,4 personas por millón de habitantes, según el último informe del Registro Español de Diálisis y Trasplante (REDYT)2. Este aumento sostenido ha convertido a la ERC en una prioridad sanitaria, debido no solo a su alta carga clínica, sino también al impacto económico y social que conlleva3.
En este contexto el trasplante renal (TR) se presenta como la mejor opción terapéutica para mejorar la supervivencia y la calidad de vida de los pacientes con ERC avanzada, incluso en aquellas personas de mayor edad y con concurrencia de otras enfermedades4. Sin embargo, el acceso al TR requiere de un proceso exhaustivo de evaluación para asegurar que el procedimiento sea seguro y ofrezca el máximo beneficio posible. En los últimos años la evaluación de la fragilidad se ha propuesto como un elemento clave dentro del proceso de estudio del candidato a TR, ya que permite valorar su grado de vulnerabilidad más allá de la edad cronológica y la presencia de comorbilidades5.
La fragilidad, entendida como la disminución de las reservas fisiológicas para afrontar situaciones de estrés, representa un desafío particular en el contexto del TR6. En España se estima que el 70% de los pacientes incluidos en la lista de espera (LE) para TR presentan algún grado de fragilidad5. Diversos estudios han demostrado que este factor influye en los resultados, tanto en lista de espera como después del TR, asociándose a una mayor incidencia de complicaciones, un aumento en las tasas de hospitalización y una menor supervivencia del paciente7,8. No obstante, aún persisten interrogantes sobre cómo la fragilidad impacta en otros aspectos relevantes para los pacientes, como su calidad de vida o el control de síntomas tras el TR.
Ante esta realidad se hace necesario replantear los modelos de atención que sitúen al paciente y sus necesidades en el centro del proceso asistencial. La incorporación de los resultados reportados por los pacientes (Patient-Reported Outcome Measures [PROM]) se propone como una estrategia clave para evaluar aspectos fundamentales de la salud que trascienden los indicadores clínicos tradicionales9. Los PROM, definidos por la Food and Drug Administration (FDA) como medidas de resultado comunicadas por el paciente, son informes sobre el estado de salud del paciente que provienen directamente de este, sin interpretación de sus respuestas por parte de un clínico u otra persona10. Ofrecen información valiosa sobre la percepción que tienen los propios pacientes respecto a su estado de salud, capacidad funcional, calidad de vida y prioridades en la atención sanitaria, lo que facilita una atención más personalizada y alineada con sus necesidades. A diferencia de las evaluaciones clínicas clásicas, estos instrumentos recogen directamente la percepción subjetiva del paciente, aportando una perspectiva que a menudo pasa desapercibida para los profesionales sanitarios11. De hecho, en las guías KDIGO sobre el manejo de la ERC se subraya que los pacientes con ERC consideran la calidad de vida y el control de síntomas como resultados tan relevantes o más que la propia supervivencia1.
A pesar de la creciente evidencia del valor de los PROM en la atención sanitaria, existe escasa certeza sobre su aplicación en personas con ERC que están siendo evaluadas como candidatas a TR11. Hasta la fecha no se ha evaluado la relación entre los PROM y la fragilidad en esta población específica. Conocer cómo la fragilidad afecta a la percepción que tienen estos pacientes sobre su salud, su funcionalidad física, el dolor y el bienestar emocional podría aportar información crucial para optimizar la toma de decisiones clínicas y la planificación del trasplante.
Por ello, el objetivo de este estudio fue evaluar la relación entre fragilidad y calidad de vida relacionada con la salud mediante la administración de PROM en personas con enfermedad renal crónica avanzada candidatas a TR.
Material y métodosDiseño del estudioSe llevó a cabo un estudio observacional, descriptivo y de corte transversal en una cohorte de 139 candidatos a TR valorados en la consulta de acceso al TR del Hospital del Mar (Barcelona).
Este estudio se llevó a cabo siguiendo los principios éticos de la Declaración de Helsinki y de conformidad con la Ley Orgánica 3/2018, de 5 de diciembre, de Protección de datos personales, así como con el Reglamento europeo 2016/679 sobre protección de datos. Asimismo, se realizó bajo las directrices de la Conferencia internacional sobre armonización y las normas de buena práctica clínica. El estudio fue aprobado por el Comité ético del Hospital del Mar dentro del proyecto 2024/11603.
Población a estudioSe invitó a participar a todos los pacientes con ERC avanzada que fueron evaluados como candidatos a TR en la consulta de acceso al TR.
Variables a estudioSe recogieron de la historia clínica las siguientes variables: a) variables sociodemográficas: edad, género, nacionalidad, nivel de estudios y convivencia; b) variables clínicas: índice de masa corporal (IMC), nivel de actividad física, hipertensión arterial, diabetes mellitus, enfermedad cardíaca, dislipidemia, vasculopatía periférica y cerebral, enfermedad pulmonar, tipo de terapia renal sustitutiva y fecha de inicio de la misma.
Valoración de fragilidad y capacidad funcionalLa fragilidad se evaluó mediante el fenotipo de fragilidad física definido por Fried et al.6. La escala de FRIED incluye 5 componentes: pérdida de peso (pérdida de peso no intencionada≥4,5kg en el último año), debilidad (fuerza de prensión manual por debajo de un umbral según el sexo y el índice de masa corporal), agotamiento (autorreportado), baja actividad física (kilocalorías semanales por debajo de un umbral establecido) y lentitud en la marcha (tiempo en recorrer 4,5m por debajo de un umbral según el sexo y la talla).
La evaluación de la fragilidad se realizó en la primera visita en la consulta ambulatoria de acceso al TR. Cada uno de los 5 componentes se valora como 0 o 1 (según la ausencia o presencia de dicho componente) y la puntuación final se calcula con la suma todos los ítems.
Los pacientes se dividieron en 2 grupos según la puntación de FRIED: igual a 0 (grupo de pacientes robustos) y FRIED>0 (grupo de pacientes con algún grado de fragilidad), dado que nuestro grupo ha demostrado que los pacientes prefrágiles en lista de espera tienen peores resultados pre7 y postrasplante8.
La evaluación del grado de dependencia para actividades básicas de la vida diaria (ABVD) se realizó con el índice de Barthel, considerando algún grado de dependencia los resultados menores a 100 puntos12,13.
La evaluación del grado de dependencia para las actividades instrumentales de la vida diaria (AIVD) se realizó con la escala de Lawton y Brody, considerando algún grado de dependencia los resultados menores a 5 puntos en hombres y 8 puntos en mujeres14.
Medida de los resultados reportados por el pacienteSe administraron 2 cuestionarios recomendados por el International Consortium for Health Outcomes (ICHOM) para el conjunto estándar de ERC15. Los resultados de los cuestionarios se normalizaron mediante un T-score, donde 50 es la media y 10 la desviación estándar según la población de referencia (validado en población general de Estados Unidos)16.
Los 2 cuestionarios administrados fueron: a) PROMIS-Global-Health®, que evalúa la salud general percibida a través de 10 ítems, proporcionando puntuaciones resumen para 2 dominios (salud física y salud mental). Un T-score de estos dominios mayor de 45 se considera normal. Si el T-score está entre 40 y 45 indica deterioro leve, 30-40 deterioro moderado y menos de 30 se considera grave comparado con la población de referencia; y b) PROMIS-29®, que mide 7 dominios: depresión, ansiedad, función física, efectos del dolor, fatiga, trastornos del sueño y capacidad para participar en funciones y actividades sociales. En PROMIS-29® los dominios de capacidad de funcionamiento físico y la capacidad de participar en roles y actividades sociales puntúan de la misma manera que PROMIS-Global-Health®: normal (T-score>50), deterioro leve (T-score 40-50), deterioro moderado (T-score 30-40) y deterioro grave (T-score<30). En cambio, en los dominios fatiga, ansiedad, alteración del sueño, depresión y efectos del dolor la interpretación de la puntuación es inversa: T-score<50 se considera normal, T-score 50-60 indica síntomas leves, de 60-70 síntomas moderados y>70 síntomas graves. En el caso del dolor el cuestionario evalúa la interferencia del dolor en la vida diaria del paciente, y no la intensidad del dolor per se, por lo que puntuaciones más altas reflejan mayor impacto negativo del dolor en las actividades cotidianas.
Recogida de datosLas variables sociodemográficas y clínicas se recogieron mediante la revisión de las historias clínicas de los participantes, y las escalas de fragilidad y dependencia se realizaron durante la primera visita en la consulta ambulatoria de acceso al TR.
Las variables relacionadas con los PROM se obtuvieron mediante la administración los 2 cuestionarios vía dispositivos electrónicos. Tras su primera visita en la consulta de acceso al TR los pacientes recibieron un enlace a través de un mensaje de texto (SMS) para completar los cuestionarios PROMIS-Global-Health® y PROMIS-29®.
Análisis de datosEn el análisis descriptivo las variables con una distribución normal se muestran como media y desviación estándar (DE) y las variables con distribución no normal con la mediana y el rango intercuartílico (RIQ). En el análisis comparativo de las características entre los grupos se aplicó la prueba de Chi-cuadrado o exacto de Fisher para analizar las variables categóricas. Para variables continuas con distribución normal se utilizó la prueba de la «t» de Student y la prueba U de Mann-Whitney para las variables continuas no paramétricas. La relación entre la fragilidad y los resultados de PROMIS se realizó comparando las medias de los T-scores de cada dominio del grupo de pacientes robustos con el grupo de pacientes con algún grado de fragilidad.
Para evaluar la asociación entre el dominio de función física del cuestionario PROMIS-29®, la fragilidad y otras comorbilidades, se realizó un análisis multivariante mediante regresión logística binaria.
El análisis estadístico se realizó mediante el paquete estadístico SPSS® versión 28 (IBM). Los valores de p<0,05 fueron considerados como estadísticamente significativos.
ResultadosSe incluyeron en el estudio 139 candidatos a TR que fueron evaluados en la consulta de acceso al TR.
La edad media fue de 63,5 (±13,3) años y el 32,4% eran mujeres. La mayoría de los participantes eran nacidos en España (80,6%) y convivían con más personas en su domicilio (85,6%). El 47,5% no tenía estudios o tenía estudios primarios. En el momento de la evaluación el 43,9% de los pacientes se encontraba en programa de diálisis. Respecto a la fragilidad el 64,7% presentaba algún grado de fragilidad (FRIED>0) (tabla 1).
Características sociodemográficas de toda la población a estudio
| Todosn=139 | Respondenn=99 | No respondenn=40 | p | |
|---|---|---|---|---|
| Características sociodemográficas | ||||
| Edad (años, media±DE) | 63,5±13,3 | 61,4±12,5 | 65±15,3 | 0,05 |
| Género femenino, n (%) | 45 (32,4) | 31 (31) | 14 (35) | 0,6 |
| Nacidos en España, n (%) | 112 (80,6) | 86 (86,9) | 26 (65) | 0,003 |
| Sin estudios o estudios primarios, n (%) | 66 (47,5) | 36 (36,4) | 30 (75) | <0,001 |
| Vive solo, n (%) | 20 (14,4) | 13 (13,1) | 7 (17,5) | 0,5 |
| Características clínicas | ||||
| IMC (kg/m2, media±DE) | 27,3±5,5 | 28±5,9 | 26,27±4,6 | 0,7 |
| Actividad física menos de 30min al día, n (%) | 55 (39,6) | 42 (42,4) | 13 (32,5) | 0,3 |
| Hipertensión arterial, n (%) | 129 (92,8) | 94 (5,1) | 35 (87,5) | 0,1 |
| Diabetes mellitus, n (%) | 53 (38,1) | 34 (34,3) | 19 (47,5) | 0,1 |
| Enfermedad cardíaca, n (%) | 48 (34,5) | 31 (31,3) | 17 (42,5) | 0,2 |
| Dislipidemia, n (%) | 89 (64) | 64 (64,6) | 25 (62,5) | 0,8 |
| Vasculopatía periférica, n (%) | 15 (10,8) | 11 (11,1) | 4 (10) | 0,8 |
| Vasculopatía cerebral, n (%) | 16 (11,5) | 13 (13,1) | 3 (7,5) | 0,3 |
| Enfermedad pulmonar, n (%) | 19 (13,7) | 15 (15,2) | 4 (10) | 0,4 |
| Terapia renal sustitutiva en HD o DP, n (%) | 61 (43,9) | 39 (39,4) | 22 (55) | 0,9 |
| Fragilidad (escala FRIED) | ||||
| 0 | 49 (35,3%) | 40 (40,4%) | 9 (22,5%) | |
| 1 | 47 (33,8%) | 35 (35,4%) | 12 (30%) | |
| 2 | 34 (24,5%) | 17 (17,2%) | 17 (42,5%) | |
| 3 | 8 (5,8%) | 6 (6%) | 2 (5%) | 0,017 |
| 4 | 0 | 0 | 0 | |
| 5 | 1 (0,7%) | 1 (1%) | 0 | |
| >0 | 90 (64,7%) | 59 (59,6%) | 31 (77,5%) | <0,001 |
| Valoración funcional | ||||
| Test Lawton y Brody (media±DE) | 7,37±1,1 | 7,58±0,9 | 6,88±1,5 | <0,001 |
| Test Barthel (media±DE) | 99±5,1 | 98,78±6 | 99,7±1,5 | 0,04 |
DE: desviación estándar; DP: diálisis peritoneal; HD: hemodiálisis; IMC: índice de masa corporal.
Los números en negrita indican valores de p significativos.
De los 139 participantes que se incluyeron el 28,7% no contestó a los cuestionarios PROM administrados.
Características sociodemográficas, clínicas y fragilidadComparando el grupo de personas que responde a los PROM con el grupo de personas que no contesta, el de respondedores era más joven (61,4±12,5 años vs. 65±15,3 años; p=0,05), tenía mayor nivel educativo (75% vs. 36,4% con estudios superiores; p<0,001) y menor porcentaje de personas nacidas fuera de España (13,1% vs. 35%; p=0,003). No se encontraron diferencias en las comorbilidades ni en la modalidad dialítica.
El grupo de no respondedores mostró mayor nivel de fragilidad comparado con el grupo que respondió al cuestionario (77,5% vs. 59,6%; p=0,04). Cuando comparamos la situación funcional de ambos grupos, los candidatos que no contestaron al cuestionario eran más dependientes para realizar las ABVD (Barthel 98,7±6 vs. 99,7±1,5; p=0,04) y las AIVD (Lawton-Brody 6,8±1,5 vs. 7,5±0,9; p<0,001) (tabla 1).
Las principales causas de no respuesta fueron atribuidas a la edad avanzada sin acceso tecnológico (n=18; 45%), la barrera idiomática (n=12; 30%) y el resto (n=10; 25%) a diferentes problemas logísticos (como el no acceso a internet o fallos en el dispositivo móvil) no relacionados con la salud.
Resultados de Patient-reported outcome measuresEn el análisis global de los resultados de los cuestionarios PROMIS-Global-Health® el T-score del dominio físico fue de 42,8 (±7,3) y el T-score de dominio mental de 48 (±7,4). Solo el T-score del dominio físico se situó por debajo de la media de la población de referencia, mientras que el dominio mental se reportó como bueno y el del dolor como bajo (fig. 1).
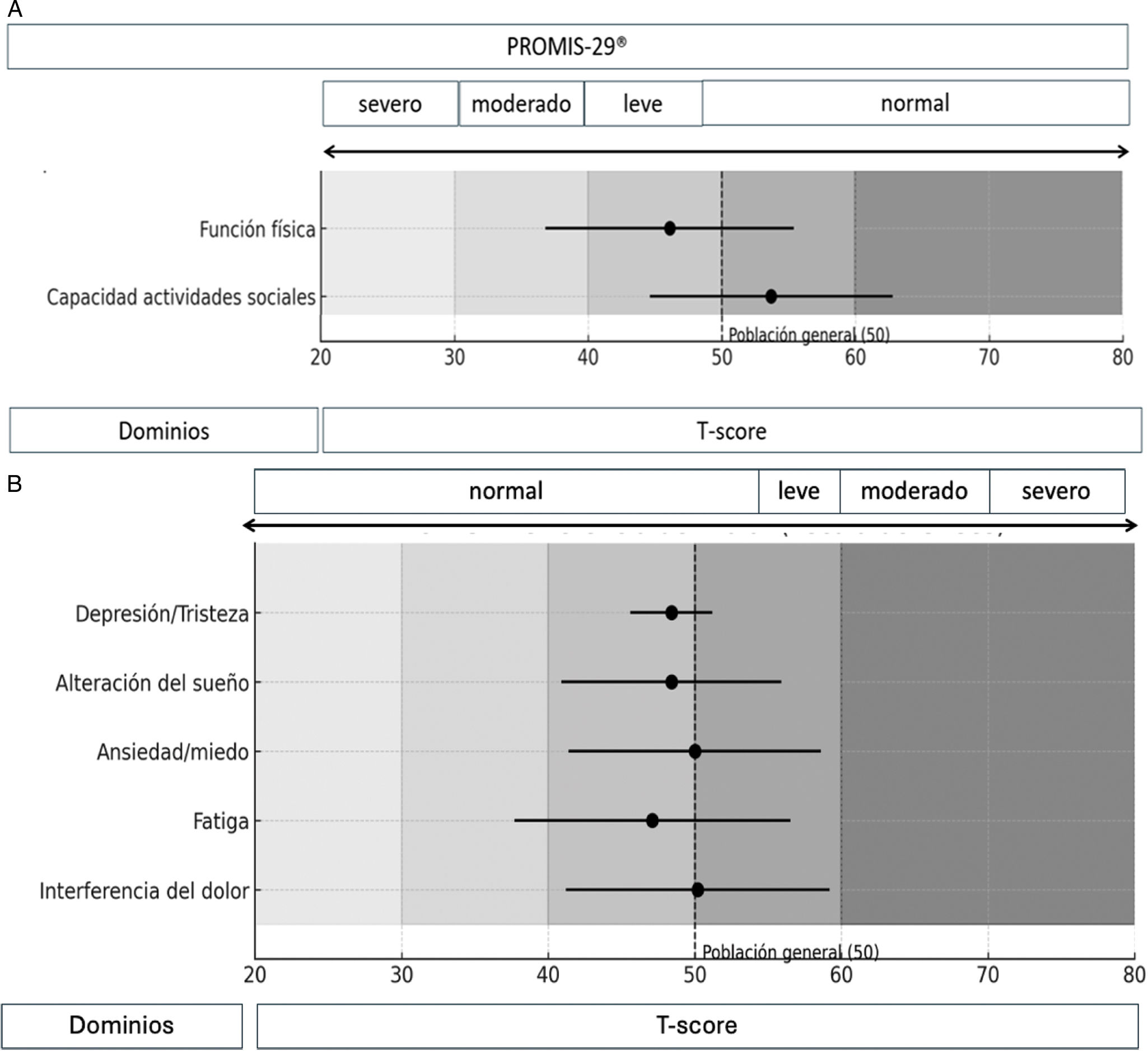
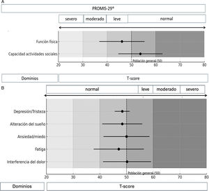
En los resultados reportados con PROMIS-29® los dominios de efectos del dolor (50,2±9), capacidad en actividades sociales (53,7±9,1) y ansiedad (50±8,6) se situaron dentro de los límites normales comparados con la población general (fig. 2A). El dominio fatiga (47,1±9,4), alteración del sueño (48,4±7,5) y depresión (48,4±2,8) también se reportaron dentro de los valores normales (fig. 2B).
Solo en el dominio físico de PROMIS-29® los candidatos reportaron una peor percepción de su salud (46,1±9,3) comparado con la población de referencia.
Fragilidad y capacidad funcionalLa edad media fue similar en el grupo de pacientes robustos y el grupo de pacientes que tenía algún grado de fragilidad (FRIED>0) (61±13,4 vs. 62±11,3 años; p=0,9). No se encontraron diferencias en la proporción de mujeres (32,5% vs. 30,5%; p=0,8), personas nacidas fuera de España (15% vs. 11,9%; p=0,6), personas sin estudios o con estudios primarios (35% vs. 37,3%; p=0,9), ni en la situación de TRS mediante diálisis (40,7% vs. 37,5%; p=0,7). Tampoco se encontraron diferencias en el resto de comorbilidades.
Respecto al nivel de autonomía para realizar las ABVD, el grupo de candidatos frágiles tenía peor puntuación en el índice de Barthel (98,1 vs. 100; p=0,003) y también puntuaban peor en la escala de Lawton y Brody (7,4±1 vs. 7,8±0,5; p<0,001) que el grupo de pacientes robustos.
Resultados de Patient-reported outcome measures según el estado de fragilidadEn relación con los resultados del PROMIS-Global-Health®, solo el dominio físico fue diferente entre ambos grupos: los candidatos frágiles reportaron una peor percepción de su estado de salud física que los candidatos robustos (41,5±1 vs. 44,7±6; p=0,03). No se encontraron diferencias en los resultados del dominio mental ni en el dominio del dolor.
En cuanto a los resultados de PROMIS-29®, de los 7 dominios que evalúa solo se encontraron diferencias en el dominio de función física. Los candidatos frágiles reportaron una peor percepción de su función física que los candidatos que no lo son (44,3±10 vs. 48,8±7,6; p=001). En el resto de los dominios evaluados, las puntuaciones en interferencia del dolor, capacidad de actividades sociales, fatiga, ansiedad, alteración del sueño, depresión y dolor fueron similares en los 2 grupos (tabla 2).
Resultados de los PROMIS según el estado de fragilidad
| Todos (n=99) | No frágiles (n=40) | frágiles (n=59) | p | |
|---|---|---|---|---|
| Características sociodemográficas | ||||
| Edad (años, media±DE) | 61,4±12,5 | 61±13,4 | 62±11,3 | 0,9 |
| Género femenino, n (%) | 31 (31) | 13 (32,5) | 18 (30,5) | 0,8 |
| Nacidos en España, n (%) | 86 (86,9) | 34 (85) | 52 (88,1) | 0,6 |
| Sin estudios o estudios primarios, n (%) | 36 (36,4) | 14 (35) | 22 (37,3) | 0,9 |
| Vive solo, n (%) | 13 (13,1) | 6 (15) | 7 (11,8) | 0,8 |
| Características clínicas | ||||
| IMC (kg/m2, media±DE) | 28±5,9 | 26,6±3,5 | 28,5±6, | 0,3 |
| Actividad física menos de 30min al día, n (%) | 42 (42,4) | 13 (32,5) | 29 (49,1) | 0,1 |
| Hipertensión arterial, n (%) | 94 (5,1) | 38 (95) | 56 (94,9) | 0,9 |
| Diabetes mellitus, n (%) | 34 (34,3) | 13 (32,5) | 21 (35,6) | 0,7 |
| Enfermedad cardíaca, n (%) | 31 (31,3) | 11 (27,5) | 20 (33,9) | 0,5 |
| Dislipidemia, n (%) | 64 (64,6) | 28 (70) | 36 (61) | 0,3 |
| Vasculopatía periférica, n (%) | 11 (11,1) | 6 (15) | 5 (8,5) | 0,3 |
| Vasculopatía cerebral, n (%) | 13 (13,1) | 3 (7,5) | 10 (17) | 0,1 |
| Enfermedad pulmonar, n (%) | 15 (15,2) | 7 (17,5) | 8 (13,5) | 0,5 |
| Terapia renal sustitutiva en HD o DP, n (%) | 39 (39,4) | 15 (37,5) | 24 (40,7) | 0,7 |
| Fragilidad (escala FRIED) | ||||
| 0 puntos, n (%) | 40 (40,4) | 40 (100) | - | |
| 1 punto, n (%) | 35 (35,4) | - | 35 (59,3) | |
| 2 puntos, n (%) | 17 (17,2) | - | 17 (28,8) | |
| 3 puntos, n (%) | 6 (6) | - | 6 (10,2) | |
| 4 puntos, n (%) | 0 | - | 0 | |
| 5 puntos, n (%) | 1 (1) | - | 1 (1,7) | |
| PROMIS-Global-Health® | ||||
| Global Physical (media±DE)j | 42,8±7,3 | 44,7±6 | 41,5±1 | 0,03 |
| Global Mental (media±DE)j | 48±7,4 | 48,5±7 | 47,6±7,6 | 0,5 |
| PROMIS-29® | ||||
| Interferencia del dolor (media±DE)k | 50,2±9 | 49,4±8,6 | 50,8±9,1 | 0,3 |
| Capacidad en actividades sociales (media±DE)k | 53,7±9,1 | 55±8,6 | 52,7±9,3 | 0,1 |
| Función física (media±DE)k | 46,1±9,3 | 48,8±7,6 | 44,3±10 | 0,01 |
| Fatiga (media±DE)k | 47,1±9,4 | 45,6±9,2 | 48,1±9,5 | 0,2 |
| Ansiedad/miedo (media±DE)k | 50±8,6 | 49,4±9 | 50,5±8,3 | 0,4 |
| Alteración del sueño (media±DE)k | 48,4±7,5 | 48,4±9,2 | 48,3±6,1 | 0,9 |
| Depresión/Tristeza (media±DE)k | 48,4±2,8,1 | 48,6±9,2 | 48,4±7,5 | 0,8 |
| Efectos del dolor (media±DE) | 3,3±2,3 | 3±2,1 | 3,4±2,5 | 0,6 |
| Valoración funcional | ||||
| Test Barthel (media±DE) | 98,78±6 | 100±0 | 98,1±7,3 | 0,003 |
| Test Lawton y Brody (media±DE) | 7,6±0,9 | 7,8±0,5 | 7,4±1 | <0,001 |
DE: desviación estándar; DP: diálisis peritoneal; HD: hemodiálisis; IMC: índice de masa corporal.
Los datos en negrita indican valores de p estadísticamente significativos.
Con el objetivo de profundizar en los factores asociados a una peor percepción de la función física, comparamos los pacientes con puntuaciones normales en el dominio físico de PROMIS-29® (T-score>45) con aquellos que habían reportado una función física disminuida (T-score<45). Los pacientes con una peor función física tenían mayor IMC (28,7±7,1 vs. 26,8±4,1; p=0,03), más vasculopatía periférica (9,1% vs. 2%; p=0,01) y más vasculopatía cerebral (10,1% vs. 3%; p=0,002). También presentaron puntuaciones más bajas, tanto en el índice de Barthel (97,8±8,3 vs. 99,7±1,8; p<0,001) como en la escala de Lawton y Brody (7,4±1,2 vs. 7,7±0,6; p=0,004). En este grupo también había mayor proporción de pacientes con algún grado de prefragilidad/fragilidad (34,3% vs. 25,3%; p=0,02) (tabla 3). En el análisis multivariante la vasculopatía periférica y la prefragilidad/fragilidad (FRIED>0) fueron los 2 factores independientes asociados con un reporte en la función física disminuido de PROMIS-29® (tabla 3).
Resultados según la puntuación de función física en PROMIS-2
| Análisis univariante | |||
|---|---|---|---|
| Dominio físico PROMIS-29® | Normal (T-score>45)(n=51) | Disminuido (T-score<45)(n=48) | p |
| Características sociodemográficas | |||
| Edad (años, media±DE) | 61,01±13,9 | 61,85±10,9 | 0,3 |
| Género femenino, n (%) | 14 (14,1) | 17 (17,2) | 0,7 |
| Nacidos en España, n (%) | 45 (45,5) | 41 (41,4) | 0,1 |
| Sin estudios o estudios primarios, n (%) | 19 (19,2) | 17 (17,2) | 0,8 |
| Vive solo, n (%) | 7 (7,1) | 6 (6,1) | 0,8 |
| Características clínicas | |||
| IMC (kg/m2, media±DE) | 26,8±4,13 | 28,7±7,15 | 0,03 |
| Actividad física menos de 30min al día, n (%) | 15 (15,2) | 27 (27,3) | 0,07 |
| Hipertensión arterial, n (%) | 48 (48,5) | 46 (46,5) | 0,6 |
| Diabetes mellitus, n (%) | 14 (14,1) | 20 (20,2) | 0,1 |
| Enfermedad cardíaca, n (%) | 12 (12,1) | 19 (19,2) | 0,08 |
| Dislipidemia, n (%) | 34 (34,3) | 30 (30,3) | 0,6 |
| Vasculopatía periférica, n (%) | 2 (2) | 9 (9,1) | 0,01 |
| Vasculopatía cerebral, n (%) | 3 (3) | 10 (10,1) | 0,02 |
| Enfermedad pulmonar, n (%) | 6 (6,1) | 9 (9,1) | 0,3 |
| Terapia renal sustitutiva en HD o DP, n (%) | 17 (17,2) | 22 (22,2) | 0,2 |
| Fragilidad (escala FRIED) | |||
| 0 puntos, n (%) | 26 (26,3) | 14 (14,1) | |
| 1 punto, n (%) | 18 (18,2) | 17 (17,2) | |
| 2 puntos, n (%) | 5 (5,1) | 12 (12,1) | 0,007 |
| 3 puntos, n (%) | 2 (2) | 4 (4) | |
| 4 puntos, n (%) | 0 | 0 | |
| 5 puntos, n (%) | 0 | 1 (1) | |
| 0 | 26 (26,3) | 14 (14,1) | |
| >0 | 25(25,3) | 34 (34,3) | 0,02 |
| Valoración funcional | |||
| Test Barthel (media±DE) | 99,75±1,8 | 97,75±8,3 | <0,001 |
| Test Lawton y Brody (media±DE) | 7,71±0,64 | 7,44±1,16 | 0,004 |
| Análisis multivariante | |||
|---|---|---|---|
| OR | IC 95% | p | |
| IMC (kg/m2) | 1,06 | 0,96-1,16 | 0,20 |
| Vasculopatía periférica | 5,96 | 1,63-9,28 | 0,012 |
| Vasculopatía cerebral | 3,02 | 0,67-13,65 | 0,15 |
| FRIED>0 | 2,56 | 1,01-6,49 | 0,04 |
| Test de Barthel | 0,94 | 0,81-1,09 | 0,44 |
| Test de Lawton y Brody | 1,09 | 0,57-2,09 | 0,78 |
IC: intervalo de confianza; IMC: índice de masa corporal; OR: odds ratio.
Los datos en negrita indican valores de p estadísticamente significativos.
Este estudio analiza la percepción del estado de salud de pacientes con ERC avanzada candidatos a TR mediante la aplicación de PROM, así como su asociación con comorbilidades y, especialmente, con la fragilidad. Los pacientes frágiles o prefrágiles perciben un peor estado de salud física que los pacientes robustos. En cambio, no se detectan diferencias en otras dimensiones como la salud mental, el dolor o el bienestar emocional.
En las últimas décadas se ha avanzado hacia modelos de atención sanitaria centrados en la persona, donde la opinión del paciente adquiere un papel central en la toma de decisiones clínicas. En este contexto, los PROM se han consolidado como herramientas fundamentales para captar aspectos subjetivos del estado de salud que no se reflejan en las medidas clínicas tradicionales, como la calidad de vida, el nivel de autonomía o la carga de síntomas8,10. Por este motivo, hay un interés creciente en la implementación de PROM en diferentes entornos de la atención en salud17, para complementar y mejorar los resultados clínicos, incluyendo la supervivencia del paciente18. En los pacientes con ERC avanzada los PROM deberían ser una herramienta prioritaria para mejorar la calidad de vida y morbimortalidad del paciente renal, dada la alta carga de síntomas que experimenta esta población19.
En la actualidad no existe consenso sobre los PROM que deben utilizarse en la población con ERC. El grupo de trabajo de ERC del ICHOM15 propone 2 cuestionarios, PROMIS-Global-Health® y PROMIS-29®, como parte del standard set para evaluar los resultados informados por los pacientes20,21. En las últimas guías KDIGO también se recomienda el uso de estos 2 PROMIS en pacientes renales1.
En este estudio la tasa de respuesta a los cuestionarios PROM fue del 71,2%, similar a lo reportado en la literatura para encuestas telemáticas autoadministradas22. La no respuesta se asoció a barreras tecnológicas relacionadas con la edad23 y a dificultades idiomáticas24. El menor nivel educativo y mayor proporción de pacientes extranjeros son factores descritos asociados a menores tasas de respuesta25,26.
Para hacer frente a estas limitaciones se han propuesto diversas estrategias. Una de las más destacadas es el uso de modelos híbridos, que combinan versiones digitales con formularios en papel o entrevistas presenciales, facilitando así la participación de personas de edad avanzada o con escasa alfabetización digital27–29. Otras medidas eficaces para mejorar la implementación en poblaciones especiales incluyen ofrecer asistencia durante la cumplimentación, simplificar el contenido de los cuestionarios y el envío de recordatorios personalizados30–32. Para afrontar las barreras idiomáticas se recomienda la traducción y adaptación cultural de los PROM a los diferentes idiomas, implicando a pacientes de la propia población destinataria en su validación33. La figura de coordinadores de PROM también puede ser un elemento facilitador clave para una implementación más inclusiva29,34.
Los candidatos a TR incluidos en este estudio mostraron una percepción deteriorada de su estado físico en ambos cuestionarios PROMIS administrados. En PROMIS-Global-Health® el dominio mental obtuvo puntuaciones dentro de la media, mientras que el físico se situó por debajo de los valores de la población general. De forma similar, en PROMIS-29® la función física fue el único dominio con puntuaciones inferiores a la media, mientras que el resto —ansiedad, fatiga, dolor, sueño y capacidad social— se mantuvieron en rangos normales. Estos hallazgos son consistentes con estudios previos realizados en pacientes mayores con enfermedades crónicas35, incluida la ERC avanzada, en los que la función física es sistemáticamente el dominio más alterado36. De forma similar, cuando se administran PROMIS a pacientes TR, el dominio físico es el que ha obtenido peor puntuación, seguido de la depresión y la alteración del sueño37.
La experiencia en el uso de cuestionarios PROMIS en candidatos a trasplante es aún muy limitada. En una publicación reciente con 154 candidatos a TR, los pacientes que reportaron una peor puntuación en PROMIS antes del TR consultaron más a urgencias y tuvieron más reingresos en el primer mes después del TR38. Otro estudio en candidatos a trasplante hepático también demuestra una asociación entre una menor función física de PROMIS-29®, mayor fragilidad medida por la escala Liver Frailty Index y tasa de hospitalización durante el periodo en lista de espera39.
La fragilidad es un factor determinante en el acceso al TR5 y en los resultados postrasplante7. En nuestra población de estudio, la prevalencia de fragilidad o prefragilidad en fue del 64,7%, y los candidatos con FRIED>0 reportaron una peor percepción de su estado físico tanto en PROMIS-Global-Health® como en PROMIS-29®, pero sin diferencias en el resto de los dominios. En nuestra cohorte de pacientes la peor percepción de función física reportada por el paciente se asoció de forma independiente a prefragilidad/fragilidad, y la vasculopatía periférica fue la única enfermedad que se relacionó de forma independiente con un T-score bajo en PROMIS-29®.
La asociación entre fragilidad y la peor autopercepción del estado físico observada en nuestros resultados refuerza la utilidad de los PROM como herramientas complementarias en la evaluación funcional de los candidatos a TR. Además, esta asociación podría sugerir un impacto específico de la fragilidad sobre la dimensión física autopercibida, que sería coherente con la fisiopatología de la fragilidad, centrada en la pérdida de reservas físicas y funcionales. La implementación de PROMIS podría contribuir a discriminar subgrupos dentro del conjunto de pacientes frágiles, permitiendo una estratificación más precisa y facilitando intervenciones personalizadas. Es prioritario avanzar hacia una estandarización en los PROM que se deben emplear en este grupo de pacientes, con el objetivo de mejorar la evaluación y comparación de intervenciones en fragilidad40.
Las principales limitaciones de este estudio derivan de su diseño retrospectivo y transversal, que impide establecer relaciones causales o estudiar la evolución temporal de los PROM y su impacto en el acceso al TR o en los resultados postrasplante. Además, la muestra no es completamente representativa de la población en lista de espera, ya que las características de quienes no respondieron los cuestionarios difieren de quienes sí lo hicieron.
En conclusión, los PROM son herramientas valiosas para evaluar la percepción subjetiva del estado de salud de los pacientes candidatos a TR. La implementación en la práctica clínica diaria de estos instrumentos podría facilitar estrategias dirigidas a mejorar los resultados en salud, optimizando el seguimiento en lista de espera y mejorando el acceso al trasplante. Además, la estandarización y validación de PROM específicos para esta población, con especial foco en los pacientes frágiles o prefrágiles, permitirá mejorar la comparabilidad de estudios y su aplicabilidad en diferentes contextos clínicos.
Identificadores ORCIDAnna Bach-Pascual: 0000-0003-0571-6131
Clara Amat-Fernández: 0000-0001-9595-0970
Guillermo Pedreira-Robles: 0000-0002-6180-4059
Betty Chamoun-Huacon: 0000-0002-4267-2273
Olatz Garin: 0000-0001-6193-0779
Yolanda Pardo: 0000-0003-4982-5495
Erica Briones-Vozmediano: 0000-0001-8437-2781
Esther Rubinat-Arnaldo: 0000-0003-0232-9777
Marta Crespo-Barrio: 0000-0002-1852-2259
María José Pérez-Sáez: 0000-0002-8601-2699
AutoríaDolores Redondo-Pachón y Anna Bach-Pascual comparten puesto como primer autor y María José Pérez-Sáez y Guillermo Pedreira-Robles como último autor.
FinanciaciónEste estudio se ha realizado como parte de la tesis doctoral de la autora Anna Bach-Pascual.
La autora Clara Amat-Fernández está financiada por la Generalitat de Catalunya, Agència de Gestió d’Ajuts Universitaris i de Recerca (AGAUR FI-2 00266).
Conflicto de interesesLos autores declaran que no existe conflicto de intereses.
A las personas con ERC que han participado desinteresadamente en este estudio.




